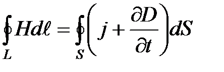
Второе уравнение Максвелла.
Обобщенная теорема о циркуляции вектора Н:
.
Это уравнение показывает, что магнитные поля могут возбуждаться либо движущимися зарядами (электрическими токами), либо переменными электрическими полями.
Теорема Гаусса для электростатического поля в диэлектрике
.
Если заряд распределен внутри замкнутой поверхности непрерывно с объемной плотностью
, то
.
Дата добавления: 2015-08-11; просмотров: 1140;
