Свободные гармонические колебания в колебательном контуре
Колебательный LC контур - это электрическая цепь состоящая из индуктивности и емкости (рис.2а,б,в,г,д).
| а) б) в) + + i _ C L _ + г) д) i + _ |
Рис. 2
В рассматриваемой электрической цепи могут происходить периодические изменения заряда q, напряжения u (или разности потенциалов) на обкладках конденсатора и электрического тока i.
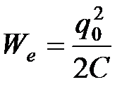
Если емкость С поместить заряд q0, то конденсатор заряжается, получая энергию
. Разность потенциалов на обкладках конденсатора будет иметь максимальное значение Uc, а тока в цепи контура LC не будет (рис.2а).
При замыкании конденсатора на катушку индуктивности происходит разряд конденсатора. В результате разряда конденсатора на катушку индуктивности в ней появляется ток и, вследствие явления самоиндукции, электрический ток в цепи будет постепенно увеличиваться и достигнет максимального значения i0 в момент времени
, когда заряд q и напряжение u равны нулю (рис.2б). Далее ток в цепи, сохраняя прежнее направление, будет постепенно уменьшаться и станет равным нулю в момент времени
. При этом заряд конденсатора и разность потенциалов между его обкладками вновь достигнут максимального значения (рис.2в), но в этот момент времени знаки зарядов пластин и направление напряженности электрического поля между обкладками конденсатора будут противоположны тем, что были в начальный момент времени.
В результате, вследствие явления самоиндукции, происходит перезарядка конденсатора. В следующие критические промежутки времени от
до
и далее до Т процессы происходят в обратном направлении (рис.2г,д).
Для получения уравнения электромагнитных колебаний в рассматриваемом LC контуре используется закон Ома, согласно которому алгебраическая сумма падений напряжений равна алгебраической сумме действующих в этой замкнутой электрической цепи электродвижущих сил. В рассматриваемой электрической цепи LC действует только ЭДС самоиндукции
, а падение напряжения происходит только на конденсаторе, поэтому
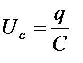
. Но, по определению,
, тогда
.
Принимая во внимание, что
и
получим:
или
.
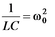
Введя обозначение
, (4)
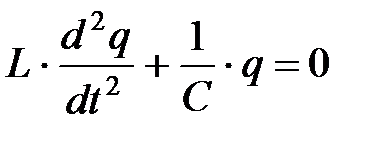
получается дифференциальное уравнение для электрической LC цепи:
. (5)
Решением данного дифференциального уравнения второй степени будет
. (6)
Следовательно, законы изменения тока и напряжения в цепи LC будут:
, (7)
. (8)
Графическое изображение изменения заряда, тока и напряжения в контуре представлены на рис.3.
| q, u, i qu t i |
Рис.3
При изменении величины заряда и тока будут изменяться напряженности электрического и магнитного полей. С увеличением заряда будет увеличиваться энергия электрического поля
конденсатора, а с увеличением тока будет увеличиваться энергия магнитного поля катушки индуктивности
. Энергия электрического поля будет переходить в энергию магнитного поля и обратно. Поэтому процессы, происходящие в колебательном контуре, носят название электромагнитных колебаний.
Тема 9. Затухающие и вынужденные колебания.
Вопросы:
1. Затухающие колебания.
2. Вынужденные колебания.
1. Затухающие колебания.
Дата добавления: 2015-08-11; просмотров: 1555;
