Вынужденные колебания. Для получения незатухающих колебаний в системе (механической, электрической, электромеханической, электронной и др.) к ней необходимо подводить энергию для
Для получения незатухающих колебаний в системе (механической, электрической, электромеханической, электронной и др.) к ней необходимо подводить энергию для компенсации внутренних потерь. Компенсировать потери энергии можно с помощью внешнего воздействия, которое в общем случае может быть постоянной или изменяться со временем по какому – то закону. Под действием постоянного внешнего воздействия колебания в системе прекратятся, и движение механической системы будет поступательным. Под действием периодически изменяющегося внешнего воздействия в рассматриваемой системе будут происходить колебания, которые теперь уже будут не свободными, а вынужденными.
Вынужденными называются колебания, которые возникают в системе под действием внешнего периодически изменяющегося воздействия. Характер вынужденных колебаний (величины: амплитуда, частота) будет в этом случае определяться характером внешнего возмущающего воздействия и свойствами (характеристиками) самой системы в целом или характеристиками ее отдельных узлов и элементов.
При внешнем возбуждении системы ее сводные колебания в значительной мере будут определять ее вынужденные колебания и резонансные свойства.
Понятие вынужденных колебаний может быть приближенно распространено на системы, содержащие консервативные и нелинейные элементы, если их воздействие приводит к резким (или скачкообразным) изменениям амплитуд и фаз свободных (нормальных колебаний).
Так как свободные колебания в самой системе являются затухающими, то через определенный промежуток времени (времени переходного процесса или процессов) они прекратятся, и в системе установятся вынужденные колебания с частотой внешнего воздействия.
Графическое изображение переходного процесса показано на рис.4а.
| x а) б) R t C L ~е установление колебаний |
Рис.4
В качестве примера вынужденных колебаний рассмотрим замкнутую электрическую цепь (рис.4б) состоящую из последовательно соединенных: емкости C, индуктивности L и активного сопротивления R, к которым подключен внешний источник энергии с ЭДС изменяющийся по гармоническому закону:
,
где Ω – частота внешней вынуждающей ЭДС.
В рассматриваемом замкнутом электрическом контуре сумма падений напряжений на различных участках равна сумме действующих в нем ЭДС, поэтому
.
Принимая во внимание соотношения
,
и
получим новый вид уравнения суммы падений напряжений и ЭДС в электрической цепи
,
или
. (3)
Дифференцируя по времени последнее уравнение (1) и учитывая
получим уравнение
. (4)
Решение дифференциального уравнения (4) имеет вид:
, (5)
где
- значение амплитуды установившегося тока в замкнутом электрическом контуре; φ – начальная фаза вынужденных колебаний. Требуется определить аналитические выражения
и φ в соответствии параметрами рассматриваемого электрического контура и характеристик внешней возмущающей ЭДС.
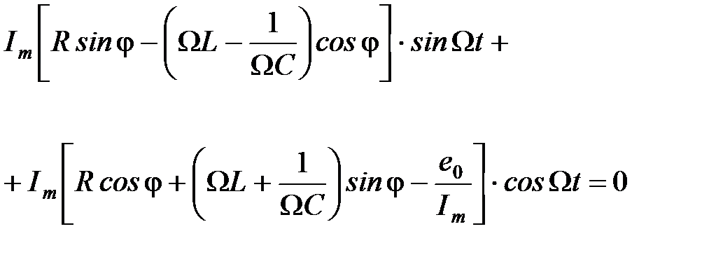
Возьмем первую и вторую производные от выражения (5) и подставим из в формулу (4). После сокращения правой и левой частей уравнения на Ω получим:
.
Используя тригонометрические формулы для дальнейших преобразований и перенося все члены в левую часть получим:
.
Последнее равенство должно выполняться для любого момента времени, поэтому коэффициенты при
и
должны равняться нулю, т.е.
; (6)
. (7)
Из уравнения (6) следует:
. (8)
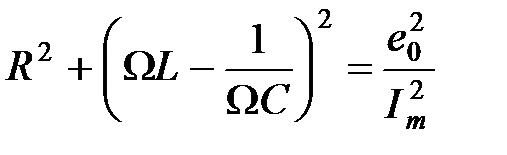
Возведя в квадрат равенства (6) и (5), а затем суммируя полученные выражения, получим:
,
откуда следует
. (9)
Полное сопротивление рассматриваемой электрической цепи (модуль комплексного сопротивления цепи) будет определяться выражением:
, (10)
где
- активное сопротивление цепи,
- индуктивное сопротивление цепи,
- емкостное сопротивление рассматриваемой электрической цепи.
Примерами вынужденных колебаний могут служить колебания механической конструкции под действием переменной нагрузки; колебания мембраны датчика под действием переменного магнитного поля; колебания тока и напряжения в электрической цепи под действием переменной ЭДС и др.
Резонанс может возникнуть лишь в том случае, когда частота гармонических внешних воздействий близка к одной из собственных частот системы либо к их линейной комбинации, если внешнее воздействие меняет параметры системы (параметрический резонанс). При этом важным оказывается также и пространственное распределение воздействия – максимальный эффект достигается при соблюдении не только временного, но и пространственного синхронизма (нелинейная оптика).
Рассмотрим и математически опишем явление резонанса на примере электрической цепи (рис.4б). Если индуктивное сопротивление оказывается равным емкостному сопротивлению, т.е.
, (11)
то полное сопротивление электрической цепи уменьшится (как будто в электрической цепи имеется только активное R сопротивление). В результате будет наблюдаться значительный рост амплитуды тока
циркулирующего в рассматриваемой цепи.
Из равенства (11) следует, что произойдет данный эффект при частоте вынужденных колебаний, равной
.
Однако, из ранее проведенного анализа данного контура следует, что
- есть частота собственных колебаний контура.
Поэтому, явление резкого возрастания амплитуды установившихся вынужденных колебаний, проявляющееся при приближении значения частоты внешнего возмущения Ω к частоте собственных колебаний системы ω0, называется резонансом.
В колебательном RLC контуре величина тока при резонансе будет тем больше, чем меньше будет омическое сопротивление рассматриваемой электрической цепи (рис.2).
| i0 R1 R2 R1<R2<R3 R3 Ω ω0 |
Рис.2
Количественной характеристикой резонансных свойств колебательной системы принято считать ее добротность. Она показывает, во сколько раз амплитуда установившихся вынужденных колебаний превышает амплитуду вынужденных колебаний вдали от резонанса, т.е. в той области частот, где амплитуда вынужденных колебаний не зависит от частоты.
Дата добавления: 2015-08-11; просмотров: 987;
