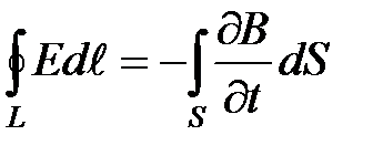
Первое уравнение Максвелла.
Электрическое поле может быть как потенциальным (Е
), так и вихревым (E
), поэтому напряженность суммарного поля Е = Е
+ E
, то циркуляция вектора напряженности суммарного поля

Это уравнение показывает, что источником электрического поля могут быть не только электрические заряды, но и меняющиеся во времени магнитные поля.
Дата добавления: 2015-08-11; просмотров: 788;
