Средняя квадратическая ошибка функции измеренных величин
а) Функция общего вида:
.
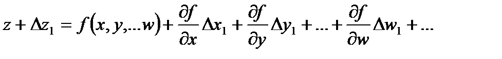
Пусть аргументы измерены с ошибками ∆x1, ∆x2,…; ∆y1, ∆y2,…; ∆w1, ∆w2…
Тогда
.
Так как ошибки ∆x, ∆y, ∆w малы, то функцию можно разложить в ряд Тейлора, ограничившись членами первой степени:

Отсюда составим систему уравнений случайных ошибок:
.
Но ∆x, ∆y…имеют бесконечное число измерений каждая и характеризуются средними квадратическими ошибками. Поэтому можно составить бесконечное число уравнений, аналогичных выше приведенному:
Возведем равенства в квадрат, сложим и разделим на n.

0 n→∞.
Отсюда
→
.
Квадрат средней квадратической ошибки функции общего вида равен сумме квадратов произведений частных производных по каждому аргументу на средние квадратические ошибки соответствующих аргументов.
б) Функция вида z=x+y (суммы), mz=?
Дано: х – измерено несколько раз с ошибками ∆х1; ∆х2,… ∆хn
у – измерено несколько раз с ошибками ∆у1, ∆у2,… ∆уn
z – будет вычислено несколько раз с ошибками ∆z1, ∆z2,… ∆zn.
;
.
Эта же формула справедлива для функции вида z=x-y, так как после выше приведенных рассуждений перед последним членом будет знак (-). Но он все равно стремится к нулю.
Поэтому можно сделать вывод, что квадрат средней квадратической ошибки алгебраической суммы двух аргументов равен сумме квадратов средних квадратических ошибок слагаемых.
Если mх=mу=m, то mz=±
.
Пусть
, перепишем
. Тогда можно записать:
, но
, поэтому
.
Если
, то при n слагаемых
, то есть квадрат средней квадратической ошибки суммы аргументов равен сумме квадратов средних квадратических ошибок слагаемых.
Средняя квадратическая ошибка алгебраической суммы измеренных с одинаковой точностью величин в
раз больше средней квадратической ошибки одного слагаемого.
в) Функция вида
(произведения).
k – постоянное число безошибочное.
х – измерено несколько раз с ошибками ∆х1, ∆х2,… ∆хn.
z – будет вычислено несколько раз с ошибками ∆z1, ∆z2,…, ∆zn.

отсюда
или
,
то есть средняя квадратическая ошибка произведения постоянного числа на аргумент равна произведению постоянного числа на среднюю квадратическую ошибку аргумента (измеряемой величины).
Дата добавления: 2015-08-11; просмотров: 2402;
