Разложение периодических функций в ряд Фурье. До сих пор рассматривались линейные цепи при постоянных и синусоидальных напряжениях и токах
До сих пор рассматривались линейные цепи при постоянных и синусоидальных напряжениях и токах. Синусоидальная форма кривых позволила применить векторные диаграммы и символический метод, весьма упростившие расчет цепей.
В электротехнике стремятся к синусоидальной форме периодических кривых, так как большинство устройств при этом работает лучше, однако на практике кривые несколько отличаются от синусоид. Более того, в устройствах электронной и вычислительной техники часто напряжения и токи должны быть несинусоидальными. В этих случаях можно использовать рассмотренные ранее методы расчета цепей, если разложить периодические несинусоидальные кривые в ряд Фурье.
Как известно из математики, периодическая функция
, удовлетворяющая условиям Дирихле, может быть приближенно представлена тригонометрическим рядом
. Этот ряд состоит из суммы постоянной составляющей А0 и синусоид разных частот
, где k – целые числа, начиная с единицы,
:
.
Причем член
называют постоянной составляющей, член
, имеющей частоту, равную частоте данной функции, называют основной или первой гармоникой, а все остальные члены вида
носят название высших гармоник.
Ряд Фурье может быть записан в другой форме, если развернуть синусы сумм:
,
где
и
,
т.е.
,
.
Коэффициенты ряда необходимо вычислять следующим образом:
,
и
.
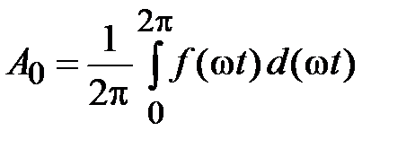
Постоянная составляющая
ряда является, очевидно, средним значением функции за период.
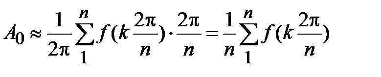
Часто периодическая функция, подлежащая разложению в ряд Фурье, задается не аналитическим выражением, а в виде графика. В этом случае разложение в ряд можно выполнить приближенно, заменив интегрирование суммированием подынтегральных выражений для конечного числа ординат кривой
. Для п равноотстоящих друг от друга на
ординат следует подставить
вместо
.
| Тогда
.
Аналогично
,
|
Дата добавления: 2015-08-11; просмотров: 924;

.
Аналогично
,