Определение параметров четырехполюсника
Если известны конкретная схема и сопротивления (проводимости) ветвей четырехполюсника, то его параметры могут быть определены расчетным путем по входным и взаимным проводимостям. Можно также исходить непосредственно из зависимостей, устанавливаемых законами Кирхгофа.
В качестве примера рассмотрим простейшие схемы четырехполюсников. Так как из четырех параметров четырехполюсника независимыми являются три, то простейшие схемы должны содержать три ветви, т. е. представлять собой соединение звездой (Т-образная схема)или треугольником (П-образная схема).
| | |
Для Т-образной схемы при режиме холостого хода очевидны следующие соотношения:
,
;
при коротком замыкании:
, 
Отсюда параметры этого четырехполюсника:
,
,
, 
Параметры П-образной схемы могут быть определены аналогично:
при холостом ходе:
,
;
при коротком замыкании
, 
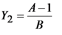
Отсюда параметры П-схемы
,
,
, 
Любой сложный четырехполюсник можно заменить простейшим эквивалентным ему, т. е. Т- или П-схемой. Параметры этих эквивалентных схем выражаются через параметры четырехполюсника.
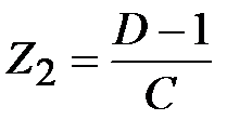
Для Т-схемы:
,
,
;
Для П-схемы:
,
,
.
Из этих выражений видно, что схемы, эквивалентные симметричным четырехполюсникам, сами тоже симметричны, так как, если
,то
и
.
Если конкретная схема и параметры ветвей четырехполюсника неизвестны, его параметры могут быть определены из опытов холостого хода и короткого замыкания при питании и измерениях со стороны входа и со стороны выхода. Эти измерения позволяют определить комплексы сопротивлений короткого замыкания
и холостого хода
при питании схемы со стороны входных зажимов 1'-1″ и
и
при питании схемы со стороны выходных зажимов 2' -2":
;
;
;
;
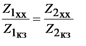
Как видно из этих выражений, полные сопротивления при коротком замыкании и холостом ходе связаны между собой соотношением:
,
поэтому из четырех вышеупомянутых опытов необходимы лишь три, а четвертый может служить для контроля.
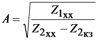
Параметры четырехполюсника находят по формулам:
;
;
;
.
Дата добавления: 2015-08-11; просмотров: 1342;
