Условия параллельности и перпендикулярности, прямых в пространстве
Угол между прямыми.
При любом расположении прямых
и
в пространстве, один из двух углов между ними равен углу
между их направляющими векторами
и
а второй угол равен 

Условие параллельности прямых.
Прямые
и
параллельны в том случае, когда их направляющие векторы
и
коллинеарны, следовательно, условием параллельности двух прямых является равенство

Условие перпендикулярности двух прямых.
Прямые
и
перпендикулярны в том случае, когда их направляющие векторы
и
перпендикулярны, т.е.

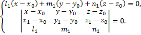
Уравнение перпендикуляра, опущенного из данной точки на данную прямую.
Перпендикуляр, опущенный из точки
на прямую 

не проходящую через точку
представляется уравнениями

Рассмотрим пример. Найти уравнение перпендикуляра, опущенного из точки
на прямую

и основание перпендикуляра.
Запишем уравнение прямой в симметричном виде. Пусть точка, принадлежащая прямой, имеет координату
тогда

Уравнение прямой примет вид

Искомый перпендикуляр представляется уравнениями

После упрощений, получим

Координаты основания перпендикуляра найдем, решив систему трех уравнений

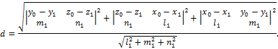
Длина перпендикуляра, опущенного из данной точки на прямую.
Даны точка
и прямая 

Требуется найти расстояние от точки
до прямой
, т.е. длину перпендикуляра, опущенного из точки на прямую.
Можно пойти по двум путям. Согласно первому пути, можно сначала найти основание перпендикуляра – точку
затем длину отрезка
Второй способ основан на применении формулы

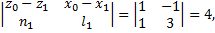
Рассмотрим пример. Найти длину перпендикуляра, опущенного из точки
на прямую

Запишем уравнение прямой в каноническом виде

Тогда, согласно данным задачи

получим

Дата добавления: 2015-08-11; просмотров: 1432;
