Свойства сходящихся последовательностей.
1. Единственность.
Теорема: Сходящаяся последовательность имеет только один предел.
2. Арифметические действия.
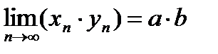
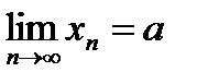
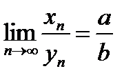
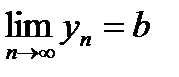
Теорема: Если последовательности {xn} и {yn} сходящиеся, причем
и
, тогда
;
;
при условии
.
3. Необходимое условие сходимости.
Теорема Больцано-Вейерштрасса:
Сходящаяся последовательность ограничена.
Док-во:
Пусть последовательность {хn} сходится Þ существует конечный предел
Þ по определению: для "e > 0 $ номер N, начиная с которого
.
Из неравенства:
.
Выберем С=max {
}.
Значит, для членов последовательности {xn} выполняется неравенство
. Тогда по определению последовательность {xn} ограничена.
Ч.т.д.
4. Достаточные условия существования предела.
Определение: Последовательность {xn} называется возрастающей (неубывающей), если x1<x2<… (x1£x2£…).
Пример: 1<2<3<4<…, {xn} – возрастает.
1£1<2£2<3£3…, {xn} - неубывающая.
Определение: Последовательность {xn} называется убывающей (невозрастающей), если x1>x2>… (x1³x2³…).
Пример: 1>1/2>1/4>…, {xn} – убывающая.
1³1/2³1/2>1/3³1/3>…, {xn} - невозрастает.
Теорема1: Если последовательность монотонно возрастает и ограничена сверху, то она имеет конечный предел.
Теорема2: Если последовательность монотонно убывает и ограничена снизу, то она имеет конечный предел.
Док-во:
Докажем теорему 1.
{xn} возрастет Þ x1<x2<….
{xn} ограничена сверху Þ существует число М такое, что при "n xn
М. Отступим от М на e, тогда существует номер N, начиная с которого
М-e< xn
М.
xn
М
М-e
0 1 2 3 4 n
Усилим правую часть неравенства:
М-e< xn<М+e, т.е.
.
Значит, для "e > 0 $ номер N, начиная с которого справедливо
. Þ
. Þ по определению: {xn} сходится.
Теорема 2 доказывается аналогично.
Ч.т.д.
Дата добавления: 2015-08-11; просмотров: 937;
