Угловое ускорение
Угловое ускорение характеризует изменение угловой скорости с изменением времени.
Если за промежуток времени
угловая скорость изменится на величину
, то числовое значение среднего углового ускорения равно:
.
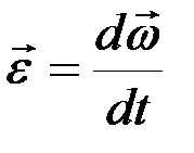
Переходя к пределу при
, получим:
.
Числовое значение углового ускорения тела в данный момент времени равно первой производной от угловой скорости или второй производной от угла поворота по времени. Размерность углового ускорения – 1/c2 или c –2.
Вектор углового ускорения
направлен вдоль оси вращения: если
совпадает с направлением
, то вращение ускоренное, если нет – замедленное.
Дата добавления: 2015-08-08; просмотров: 983;
