Определение скоростей и ускорений точек вращающегося тела. Скорости точек тела
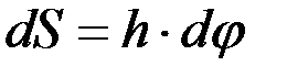
Возьмем точку М тела на расстоянии h от оси вращения. Точка M будет описывать окружность радиуса h, плоскость которой перпендикулярна оси вращения. Если за время dt происходит элементарный поворот dj, то
; скорость
называется линейной или окружной. Учитывая, что
, получим
.
Числовое значение скорости точки вращающегося тела равно произведению угловой скорости тела на расстояние от этой точки до оси вращения. Скорость направлена по касательной к описываемой окружности. Так как w для всех точек тела одинаковы, то скорости точек вращающегося тела пропорциональны их расстояниям до оси вращения.
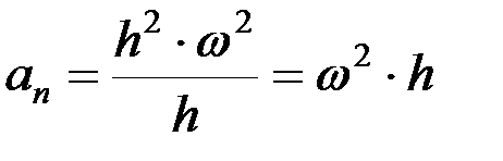
Для определения ускорений точек тела воспользуемся формулами:
;
.
В нашем случае
,
,
.
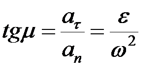
Отклонение вектора полного ускорения от радиуса определяется углом
:
.
Пример.Вал радиуса
= 10 см приводится во вращение гирей, подвешенной к нему на нити. Движение гири выражается уравнением
, где х – расстояние гири от места схода нити с поверхности вала, выражаемое в см, t – время, выражаемое в секундах. Определить угловую скорость w и угловое ускорение e вала, а также полное ускорение точки В на поверхности вала в момент времени t.
Решение:
, где j – угол поворота вала
.
,
,
см/с2,
см/с2.
см/с2.
Лекция 6
ПЛОСКОПАРАЛЛЕЛЬНОЕ ДВИЖЕНИЕ ТВЕРДОГО ТЕЛА (определение скоростей)
Разложение плоского движения твердого тела на
поступательное и вращательное. Уравнение плоского движения.
Определение скоростей точек твердого тела. Теорема о скоростях точек
твердого тела, ее следствие. Определение скоростей точек твердого тела
с помощью мгновенного центра скоростей. План скоростей
Плоскопараллельным (или плоским) называется такое движение твердого тела, при котором все его точки перемещаются параллельно некоторой фиксированной плоскости.
Дата добавления: 2015-08-08; просмотров: 941;
