Порядок виконання роботи. У циліндр, діаметр якого значно більше діаметру кульки ( щоб не визначався вплив стінок на швидкість руху кульки) налита в’язка рідина
У циліндр, діаметр якого значно більше діаметру кульки ( щоб не визначався вплив стінок на швидкість руху кульки) налита в’язка рідина, густина якої відома.
У рідині знаходиться кулька. Визначити відстань руху кульки у рідині. Верхню мітку треба брати на 6-10 см нижче від краю, тоді рух кульки буде рівномірним.
Визначити час руху кульки між позначками. Дослід повторити тричі. За співвідношенням:
,
де g – прискорення вільного падіння g=9,8
;
ρк – густина кулі;
ρр – густина рідини (касторове масло ρ=960
);
t – час руху кульки;
l – шлях, який проходить кулька між двома позначками;
R – радіус кульки.
Результати вимірювань та обчислень занести в таблицю.
| № | Радіус кульки R (м) | Час руху кульки t(с) | Густина кульки ρк
| Густина рідини ρр
| В’язкість η(Па·с) | Відносна помилка ε % |
| Сер. |
Завдання для учбово-дослідної роботи.
· Знайти межі застосування метода Стокса для визначення коефіцієнта в’язкості рідини.
· Методи визначення коефіцієнта в’язкості та залежність його від концентрації.
Завдання для самостійної роботи.
1. Внутрішнє тертя в реальних рідинах.
2. Коефіцієнт в’язкості, фізичний зміст, одиниці вимірювання.
3. Динамічна та кінематична в’язкість, зв’язок між ними.
4. Ньютонівські та неньютонівські рідини.
5. В’язкість крові, плазми, сироватки.
6. Ламінарна та турбулентна течії. Число Рейнольдса.
7. Течія рідини по трубах з постійним перерізом.
8. Рівняння Пуазейля.
9. Будова та принцип дії медичного віскозиметру. Вивести робочу формулу.
10. Визначення коефіцієнта в’язкості методом Стокса. Вивести робочу формулу.
Завдання для перевірки знань за темою:
1.Сила внутрішнього тертя між двома паралельними шарами рідини дорівнює:
1.
;
2.
;
3.
;
-
; -
.
2.У системі SI динамична в'язкість вимірюється:
- Па·С ;
- Па·С-1;
- Па-1 С;
- Па-1 С-1;
- Па-1С-2.
3.Які рідини називаються ньютонівськими?
1. Рідини, в яких коефіцієнт в'язкості залежить від градієнта швидкості.
2. Рідини, в яких коефіцієнт в'язкості залежить від градієнта щільності.
3. Рідини, в яких коефіцієнт в'язкості не залежить від градієнта швидкості.
4. Рідини, в яких коефіцієнт в'язкості не залежить від градієнта концентрації.
5. Рідини, в яких коефіцієнт в'язкості залежить від градієнта концентрації.
4.За допомогою якої формули можна вивести робочу формулу для визначення коефіциента вязкості рідини методом медичного віскозиметра?
1.
;
2.
;
3.
;
4.
;
5.
;
5.За якою формулою розраховується в'язкость рідини методом медичного віскозиметра?
1.
;
2.
;
3.
;
4.
;
5.
.
6.Принцип дії віскозиметру засновано:
1. На тому, що маси рідин, які протікають по однаковим капілярам при T=const за визначений час залежать від їх в'язкості.
2. На вимірюванні сили тертя рідини при їх течії в капілярах.
3. На безпосередньому вимірюванні в'язкості рідини.
4. На вимірюванні тиску рідини при течії у капілярах.
5. На тому, що швидкість течії рідини в однакових капілярах при T=const та P=const залежить від їх в'язкості.
7. Характер течії рідини визначається числом Рейнольдса:
-
; -
; -
; -
; -
.
8.Для чого в медицині використовується метод капілярної віскозиметрії?
1. Для визначення концентрації формених елементів у плазмі крові.
2. Для визначення коефіцієнту поверхневого натягу крові та тканевих речовин.
3. Для визначення густини крові.
4. Цей метод в медицині мало використовується.
5. Для визначення в'язкості крові, плазми, сиворотки.
9.У нормі швидкість осідання еритроцитів у чоловіків дорівнює:
- 2-10 мм/год;
- 3-9 мм/год ;
- 1-3 мм/год;
- 7-12 мм/год;
- 5-12 мм/год.
10. В'язкість крові у людей при паталогії коливається:
- 1.7·10-3 – 22.9·10-3(Па·С);
- 1.3 0.7·10-3 – 29.2·10-3(Па·С);
- 1.2 1.7·10-3 – 22.9·10-2(Па·С);
- 1.4 1.7·10-4 – 22.9·10-4(Па·С);
- 1.5 3.5·10-2 – 22.9·10-2(Па·С).
Еталони відповіді:
1 – 4; 2 – 1; 3-3; 4 – 3; 5 - 4; 6 – 5; 7 – 1; 8 – 5; 9 – 2; 10 – 1.
Література.
- Чалий О.В., Агапов Б.М., Цехмістер Я.В. та інш. “Медична і біологічна фізика” - К.: Книг-плюс, 2005, с. 124-132, 184-190
- Тиманюк В.А., Животова Е.Н. “Биофизика”- Х.: Изд-во НФАУ Золотые страницы, 2003, с.203-206.
- Ремизов А.Н. “Курс фізики, електроніки, кібернетики”.-М, Высшая школа,1982, с.95-103
4. Хитун В.Н «Практикум по физике». М. «Высшая школа» 1972, с 62-67.
5. Эсаулова М.Э. и др. Руководство к лабораторным работам по физике. М. «Высшая школа», 1983, с. 31-37.
- Методичні розробки.
- Конспект лекцій.
Тема: Вивчення залежності коефіцієнта поверхневого натягу рідини від концентрації методом відриву крапель.
Мета роботи : Оволодіти методом визначення коефіцієнта поверхневого натягу рідини; вивчити залежність коефіцієнта поверхневого натягу від концентрації.
Обґрунтування необхідності вивчення теми .
Сили поверхневого натягу рідин відіграють важливу роль у фізичних процесах природи. Коефіцієнт поверхневого натягу біологічних рідин є діагностичним фактором. При хворобі Боткіна коефіцієнт поверхневого натягу сечі різко зменшується внаслідок виникнення в неї жовчних кислот. При діабеті та інших захворюваннях підвищується вміст ліпази у крові. Про вміст її у крові можна судити за зміною поверхневого натягу розчину трибутілена при додатку в нього крові.
Закупорка кровоносної судини пухирцем повітря (газова емболія) може мати дуже серйозні наслідки для організму, а також може бути роз’яснена на основі явищ поверхневого натягу.
Тому вивчення поверхневих явищ для майбутніх лікарів має велике значення.
Прилади і матеріали: бюретка, розчин відомої концентрації, розчини невідомої концентрації тієї ж речовини, стаканчики, подина с дистильованою водою.
Теоретичні відомості.
На кожну молекулу рідини діють сили тяжіння з боку оточуючих молекул, розташованих від неї на відстані, що не перевищує 1,5·10-9 м, тобто таких, що знаходяться всередині сфери радіусом R=1,5·10-9 (мал.3) Ця середина називається сферою молярної дії. Оскільки радіус самих молекул складає приблизно 5·10-10 м, то R=3 r.
|
У такому ж положенні будуть знаходитись усі молекули, що розташовані на поверхневому шарі товщиною меншою радіуса сфери молекулярної дії. Таким чином, поверхневий мономолекулярний шар рідини товщиною 1,5·10-9м буде чинити на всю рідину тиск, рівний сумі результуючих сил, діючих на всі молекули, що лежать в одному квадратному метрі цього шару.
Завдяки тому, що молекули рідини знаходяться близько одна від однієї, рідина є важко стискуваною: вступаючи у дію на дуже малих відстанях, сили відштовхування між молекулами перешкоджають стисканню рідини. Через те, що внутрішній тиск, направлений перпендикулярно поверхні рідини, об’єм рідини, що не зазнав дії зовнішніх сил (мал.3), повинен приймати форму кулі (мал.3), бо лише у цьому випадку сили внутрішнього тиску взаємно зрівноважуються.
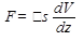
Зовнішній стан поверхневого шару рідини називається поверхневим натягом, який обумовлений силами взаємодії між молекулами цього шару. Відділимо умовно у поверхневому шарі рідини круглий контур довжиною l (мал.4):

Молекули рідини, складаючи контур, будуть притягуватися молекулами, розташованими всередині контуру; сили притягання будуть дотичні до поверхні рідини і перпендикулярні контуру. Сума сил притягання, діючих на контур, що обмежує поверхню рідини, називається силою поверхневого натягу F. Ця сила пропорціональна числу молекул, прилягаючих до контуру, яка в свою чергу пропорціональна довжині контуру. Отже, F =
l (1),
- коефіцієнт пропорціональності, який називається коефіцієнтом поверхневого натягу.
Очевидно, що з такою же силою поверхневого натягу будуть діяти на наш контур і молекули, розташовані зовні його. Тому контур знаходиться у рівновазі. З формули
=
, коефіцієнт поверхневого натягу, діючий на одиницю довжини контуру, який обмежує поверхню рідини вимірюється
в системі SI; в дин/см в системі СГС.
Поверхневий натяг залежить від температури. Поблизу від критичної температури його значення лінійно спадає зі зростанням температури. На поверхневий натяг великий вплив можуть чинити домішки, що в неї знаходяться. Наприклад, мило, розчинене у воді, зменшує її коефіцієнт поверхневого натягу з 0,075 до 0,045
. Речовина, послаблююча поверхневий натяг рідини, називається поверхнево-активною речовиною. У відношенні до води поверхнево-активними виявляються нафта, спирт, ефір, мило та багато інших рідких та твердих речовин.
З точки зору молекулярної теорії, вплив поверхнево-активних речовин пояснюється таким чином: сили притягання між молекулами рідини більші сили притягання, (сили між молекулами рідини і поверхнево-активними домішками). Тому розташовані у поверхневому шарі молекули рідини притягаються у середину рідини сильніше, ніж молекули домішків. У результаті, молекули рідини йдуть із поверхневого шару у середину рідини, а молекули поверхнево-активної речовини витискаються на поверхню.
Деякі речовини збільшують поверхневий натяг рідини у зв’язку з тим, що їх молекули взаємодіють з молекулами рідини сильніше, ніж молекули рідини між собою. Очевидно, що молекули таких домішок будуть утягнуті у середину рідини, а в поверхневому шарі залишуться переважно молекули рідини. У відношенні води прикладом такого роду домішок будуть цукор та сіль.
Поверхневий натяг біологічних рідин у деяких випадках може служити діагностичним показником. Так, наприклад, при захворюванні на жовтуху поверхневий натяг сечі різко зменшується внаслідок появи у сечі жовчних кислот. При діабеті та деяких інших захворюваннях підвищується вміст ліпази у крові. Про кількість ліпази свідчить зміна поверхневого натягу розчину трибутилена при добавленні до нього крові.
Існує багато методів визначення коефіцієнта поверхневого натягу. Один з них – метод відриву краплини.
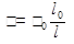
Якщо рідина повільно витікає з нижнього кінця вузької вертикальної трубки, то утворюються краплини. При виході з трубки, розмір краплинки поступово зростає, але відривається тільки тоді, коли досягає цілком певного розміру. Це відбувається тому, що коли краплинка не досить велика, сили поверхневого натягу достатньо для того, щоб протидіяти вазі краплини та запобігти відриванню. Краплина відривається тоді, коли її вага стає рівною силі поверхневого натягу, яка її утримує, тобто P=F.Сили поверхневого натягу в мить розриву будуть направлені по дотичній до поверхні і перпендикулярно до контуру, по якому відбувається відрив краплини.
Якщо R – радіус шийки краплини, то сила поверхневого натягу буде дорівнювати:
F = 2πR
. Вага краплини P = mg = ρVg, де ρ – щільність рідини; V – об’єм однієї краплини
2πR
= ρV1g;
.
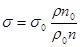
Але виміряти радіус шийки краплини практично неможливо, тому використовують порівняльний метод. Якщо відомий поверхневий натяг стандартної рідини, наприклад, води, то можна записати:
,
де ρ0 – щільність стандартної рідини (дистильованої води); V0 – об’єм краплини стандартної рідини (дистильованої води).
Беремо однакові об’єми стандартної рідини V0 і досліджуваної рідини V1;
V0 = V1 = V.
Якщо перелічити кількість краплин у цих об’ємах, то можна розраховувати об’єм однієї краплини V0 =
; V1 =
,
де n0 – кількість краплин стандартної речовини у даному об’ємі;
n – кількість краплин дослідної речовини у даному об’ємі.
Взявши відношення
к
маємо:
(10) =>
.
Устрієм для визначення коефіцієнта поверхневого натягу методом відриву краплин є закріплена на вертикальному штахеті бюретка. Попереду вузької частини бюретки є краник, яким регулюють витікання рідини з бюретки.
Дата добавления: 2015-08-04; просмотров: 1161;
