Порядок виконання роботи. 1. Якщо кров’яний тиск визначається в сидячому положенні хворого, то необхідно його посадити на стілець
1. Якщо кров’яний тиск визначається в сидячому положенні хворого, то необхідно його посадити на стілець, який приставлений до краю стола. Оголену руку кладуть на край стола. Закачування рукава сорочкики може привести до стискання плечової артерії та одержання невірних результатів, а тому руку слід витягнути. Ручні годинники повинні бути зняті, щоб не порушувати кровообіг у руці. Якщо кров’яний тиск вимірюється в лежачому положенні хворого, то апарат встановлюється на стільці поблизу ліжка. Треба слідкувати, щоб при вимірюванні кров’яного тиску м’язи руки були розслаблені.
2. З футляра виймають гумову манжетку. Якщо в манжетці є залишок повітря, то його необхідно витиснути, бо важко накласти манжетку на плече. Для цього роз’єднується конусні канюки, які сполучають гумові трубки, що йдуть від трійника балона і, стискаючи манжетку, видавлюють з неї повітря.
3. Манжетка накладається на плече таким чином, щоб середня її частина знаходилась проти внутрішньої частини плеча, там, де проходить плечова артерія. Манжетка обвивається подібно бинту навколо плеча, а кінець її (шлейф) підкладається під останній його оберт. Накладати манжетку треба нетуго: під неї вільно повинен проходити кінчик пальця (вказівного), рука не повинна синіти, пульс на променевій артерії не повинен зникати.
4. Пальцем руки промацайте місце пульсації артерії в ділянці ліктьової ямки з її внутрішнього боку, а до цього місця прикладається стетофонендоскоп. Стетофонендоскоп повинен бути прикладений до шкіри і не повинен торкатись краю манжетки, щоб запобігти появі сторонніх шумів.
5. Частими, але несильними стискуваннями гумового балона накачують повітря в тонометр і в сполучену з ним манжетку, до того часу, поки через фонендоскоп не перестануть вислуховуватися звукові явища. Можна також орієнтуватися по зникненню пульсу на променевій артерії, хоча дуже важко, але тоді фонендоскопом не користуються.
6. За допомогою вентиля починають поступово випускати повітря з манжетки і тонометра. Тиск у системі починає падати. Помічають поділки, на яких встановлюється стрілка тонометра при появі першого тону, що, як вказується вище, відповідає максимальному тиску, в момент різкого послаблення звукових явищ - послаблення тонів, що відповідає мінімальному тиску.
7. Вимірювання кров’яного тиску проводиться три рази з проміжком 4-5 хвилин між вимірюваннями, щоб дати час встановленню нормального кровообігу в руці. В проміжках між вимірюваннями повітря з манжетки випускається, щоб відновити кровообіг у руці. Обчислюється середнє трьох вимірів.
| № п/п | Pmax (мм Hg) | Pmin (мм Hg) | ∆Pmax | ∆Pmin |
| Середнє |
8. Знаходять абсолютні та відносні помилки для максимального і мінімального тисків.
9. Віднімають від середнього максимального тиску середній мінімальний, визначають пульсовий тиск.
10. Виміряти абсолютний тиск барометром Н.
11. Обчислити кожний максимальний, мінімальний тиск виміряні офігмоміметром, тонометром і формулами.
12. Кінцеві результати вимірювання тиску визначити в одиницях тиску системи SI.
Завдання для перевірки знань за темою:
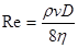
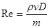
1. Характер течії рідини визначається числом Рейнольдса, який дорівнює:
-
; -
; -
; -
; -
.
2. Метод вимірювання кров’яного артеріального тиску за М.М. Коротковим застосований:
1. На закріпленні манжетки на плечі пацієнта.
2. На прослуховуванні звуків, які виникають при проходженні крові крізь зжату манжеткою артерію.
3. На прослуховуванні звуків, які виникають при роботі лівого шлуночка серця.
4. На прослуховуванні звуків, які виникають при роботі правого шлуночка серця.
5. На вимірюванні атмосферного тиску в манжетці.
3. Коли кров в достатньому об’ємі проходить через звужений просвіт артерії, то її швидкість описується рівнянням:
1.
;
2.
;
3.
;
4.
;
5.
.
4. Тиск у манжетці відповідний до ламінарної течії в артерії, регіструють як:
1. Початковий.
2. Систологічний.
3. Діастолічний
4. Тони серця.
5. Ударний об’єм крові це:
1. Об’єм, який виштовхується при скорочення лівого шлуночка в аорту, заповнену кров’ю.
2. Об’єм, який виштовхується при скорочення правого шлуночка в аорту, заповнену кров’ю.
3. Об’єм, який виштовхується при скороченні серця.
4. Об’єм, який виштовхується при скороченні серця за одну секунду.
5. Об’єм, який виштовхується при скороченні серця за одну годину.
6. У медичній практиці як діагностичний тест використовують хвилинний об’єм крові. Величина хвилинного об’єму залежить:
1. Від статі, атмосферного тиску, віку.
2. Від статі, віку, реологічних характеристик крові.
3. Від статі, віку, зміни температури середовища.
4. Від віку, температури середовища.
5. Від віку, зміни температури середовища, атмосферного тиску.
7. Швидкість пульсової хвилі дорівнює:
1.
;
2.
;
3.
;
4.
;
5.
.
8. Еластичність стінок судин зумовлює:
1. Збільшення пульсової хвилі та кров’яного тиску.
2. Збільшення кров’яного тиску та ударного об’єму крові.
3. Збільшення швидкості кровотоку та згладжує коливання кров’яного тиску .
4. Збільшення об’єму потоку крові та згладжує коливання кров’яного тиску.
5. Збільшення об’єму потоку крові та сповільняє відплив крові від серця артеріями.
9. Робота, яку виконує серце, витрачається:
1. На подолання сили тиску і сили тертя.
2. На подолання сили тиску та передачу кінетичної енергії крові.
3. На те, щоб передати механічну енергію крові, на подолання сили тертя.
4. На подолання сили тертя та передачу крові потенціальній енергії.
5. На подолання сили тиску та зміни внутрішньої енергії.
10. З енергетичної точки зору серце це система :
1. Яка виконує механічну роботу за рахунок хімічної енергії.
2. Яка виконує механічну роботу за рахунок теплової енергії.
3. Яка виконує механічну роботу за рахунок кінетичної енергії.
4. Яка виконує механічну роботу за рахунок потенціальної енергії.
5. Яка виконує механічну роботу за рахунок електричної енергії.
Еталони відповідей:
1 -2; 2- 2; 3-4; 4-3; 5-1; 6-3; 7-5; 8-4; 9-2; 10-1.
Література
- Чалий О.В., Агапов Б.М., Цехмістер Я.В. та інш. “Медична і біологічна фізика” - К.: Книг-плюс, 2005, -с. 127-130, 143-146.
- Ремизов А.Н. Медицинская и биологическая физика. -М.: Высшая школа”. 1987. с.206, 212, 213.
- Конспект лекцій.
- Методична розробка.
Тема: Вивчення пружних властивостей матеріалів.
Мета роботи:Порівняння пружних міцнісних властивостей кісткової тканини і матеріалів, що застосовуються у фармації, стоматології, хірургії.
Прилади та матеріали: Індикатор довжини, штангенциркуль, м іл і м етро ва л і н і й ка, дві опори зі сталевими призмами, зразки кісткової тканини людини з особистим вмістом кальцію, сталевий, алюмінієвий та скляний, зразки завдовжки З0 см., набір вантажів по 50,100 гр. і так далі (1 до 5 кг)
І. Теоретичне обгрунтування роботи.
1.1. Професійне значення теми.
Вивчення пружних та міцнісних властивостей різноманітних матеріалів, що застосовуються в медицині, має великий практичний інтерес. Так, знання пружних характеристик кісток використовуються в хірургічній практиці для підбору навантажень при витягненнях; визначення модуля пружності стіноккровоносних судин використовується для діагностики захворювань серцево – судинної системи; вивчення опору матеріалів потрібне для студентів фармацевтичного, стоматологічного факультетів. У останньому випадку це особливо необхідно, тому що зубний протез - це конструкція, міцність якої забезпечується законами деформації.
1.2 Деформація, її види. Поняття модуля пружності. Закон Гука.
Деформаціями називають зміну форми та об'єму тіл під дією зовнішніх сил. При деформації змінюється взаємне положення точок тіла.
Залежно від напрямку сил, що діють на тіло, розрізняють деформації розтягування; стиснення, зрушення, кручення та вигину. Всім твердим тілам властиві пружня і пластична деформації. Пружньою називається деформація, яка повністю зникає після припинення дії сили, а тіло відновлює свою первинну форму. Пластична (залишкова) деформація після припинення дії сили повністю не зникає і форма тіла не відновлюється. Пружні деформації мають місце при малих навантаженнях і зберігають свій характер при збільшенні навантаження до гранично допустимого значення, званого межею пружності. Після цього вона переходить в пластичну.
Для характеристики пружних деформацій використовується поняття відносного подовження ε , яке визначається за формулою:
[1].
Де
- первинна довжина тіла;
∆х - зміна довжини; ∆х = х- х0 ;
х - довжина після деформації.
При деформаціях стиснення та розтягування виникає механічна напруга тіла, яка дорівнюється відношенню сили пружності F до площі перетину S тіла:
[2].
Досліджуючи пружні деформації тіл, англійський фізик Гук встановив закон, згідно з якими механічна напруга, що виникає при пружній деформації твердого тіла, прямо пропорційна його відносному подовженню: δ= Еε [3], де Е-модуль пружності (модуль Юнга), який чисельно дорівнює механічній напрузі, що виникає в тілі при відносній деформації ε рівній одиниці, тобто при збільшенні довжини тіла в два рази (х+∆х=2x), фактичне подвоєння довжини тіла можна отримати у гуми та ряді полімерних матеріалів. Для інших зразків порушення міцності відбувається раніше, ніж довжина зразка подвоїться. Підставивши у формулу (3) значення σ і ε з (І) і (2), отримаємо новий вираз закону Гука:
[4].
З урахуванням цього рівняння, закон Гука може бути сформульований інакше: абсолютне подовження ∆х тіла прямо пропорційне прикладеній до нього силі F, його первинній довжині та обернено пропорційно до площі поперечного перетину S та модулю Юнга.
Залежність механічної напруги від відносної деформації показана на мал. 1.
|
. У міру зростання зовнішньої сили спостерігається різка зміна властивостей матеріалу. При певному значенні матеріал «тече». На графіку утворюється майже горизонтальна ділянка ВС. Напруга, при якій відбувається цей перебіг матеріалу, називається межею текучості.
Для маловуглецевої сталі δтек=2,4 108
. Після проходження ділянки текучості деформація набуває пластичного характеру, і матеріал знов чинить опір подальшій дії зовнішньою силою. Для збільшення деформації необхідно збільшити прикладену силу. Точка Д графіка відповідає найбільшій величині навантаження, і найбільшій механічній напрузі матеріалу. Прикладена до тіла сила, що в цьому випадку його руйнує, а відповідна їй напруга називається межею міцності, або тимчасовим опором матеріалу. Для маловуглецевої сталі межа міцності дорівнює 4-108 .
З моменту досягнення прикладеною силою найбільшого значення деформації в основному зосереджується в одному місці зразка, де утворюється місцеве звуження поперечного перетину, так звана шийка. Тому для збільшення напруги потрібне все менше навантаження, і розрив відбувається в точці Е (мал.1).
1.3.Обґрунтування методу вимірювання модуля пружності
кісткової тканини та інших образчиків.
При експериментальних дослідженнях пружних властивостей кісткової тканини припускають, що кістка має суцільну будову, оскільки розміри структурних елементів набагато менше, ніж сама кістка. Кістка вважається однорідною та ізотропною, такою, що володіє однаковими механічними властивостями в усіх точках і по всіх напрямках. Це допущення обумовлене будовою кісткової тканини, яка є достатньо складною. У її склад входить органічний матеріал, головним чином колаген, і неорганічні з'єднання, що містять кальцій, фосфор та ін. Колаген у кістці утворює волокнину - тонкі довгі нитки. Кристали неорганічних речовин розташовані між волокниною і міцно прикріплені до них. Така складна структура визначає механічні властивості кісткової тканини - пружність та пластичність. Модуль кісткової тканини має проміжне значення між модулями пружності її компонентів та істотно залежить від їх процентного змісту.
Існують різні методи визначення модуля пружності.Іноді зручніше пружні константи визначати не за деформацією розтягування, а за гнучкістю зразка. У деформації вигину стиснення водній частині зразка комбінується з розтягуванням його в іншійчастині. Середній шар, який називають нейтральним, зберігає довжину та лише зазнає викривлення.
На відміну від подовжньої напруги розтягнутих ( або стислих ) зразків напруги при гнучкості будуть поперечними, тобто перпендикулярними до 'їх довжини . Мірою деформації вцьому випадку служить стріла прогинання, тобто відхилення середини зразка від її первинного положення. Вона буде тим більше, чим більше навантаження, крім того, залежить від форми, розмірів зразка та від його модуля пружності.
З теорії опору матеріалів виходить, що, якщо до стрижня завдовжки L шириною b та товщиною a прикласти всередині силу F, то стріла прогинання λ, яка знаходиться за формулою:
. [5]
звідки
. [6]
Оскільки P=mg;
. [7]
Відстань між опорами вимірюють з точністю до 1 мм, розміри зразка – штангенциркулем. Вимірюванняроблять вдекількох місцях зразка і беруть їх середнє. Всі розміри виражають у метрах, навантаження Р - в ньютонах.
Установка для визначення модуля пружності складається з масивної платформи 1 з двома стояками , на які поміщають зразок. Посередині образчика підвішують чашку для вантажа. Прогиб вимірюють за допомогою індикатора довжини або мікрометра, який знаходиться на штативі.
Підводячи стрижень мікрометра до поверхні зразка без навантаження, вимірюють початковий відлік nо і відлік п - при навантаженні зразка вагою p. Стріла прогину при цьому дорівнює
Підставляючи цей вираз у формулу (7), одержуємо розрахункову формулу:
. [8]
Для образчика, який виконаний як трубка
Дата добавления: 2015-08-04; просмотров: 881;
