Порядок виконання роботи.
Завдання 3.1 Дослідження залежності стріли прогину від навантаження.
1. Штангенциркулем та лінійкою замірте ширину b, товщину а, і довжину L зразка. Довжина вимірюється як відстані між точками опори. Кожне вимірювання виконайте три рази в різних місцях зразка і обчисліть середні значення b, а, L.
Результати вимірювань та обчислень занесіть у таблицю 1.
Покладіть зразок на опори та підведіть стрижень мікрометра до верхньої поверхні зразка. Зніміть показання мікрометра. Послідовно навантажуйте зразок вантажами вагою
і зробіть відповідні виміри
мікрометром, встановлю-ючи кожного разу його в нове положення по відношенню зразка.
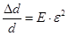
2. За знайденими значеннями стріли прогину та відповідними навантаженнями побудуйте графік залежності
. По осі абсцис відкладіть значення P, по осі кординат - значення
. При правильно виконаному завданні графік є прямою лінією.
Аналогічні досліди проведіть по всіх зразках.
Завдання 3.2. Визначити модуль пружності кістки, інших матеріалів. У формулі [8] підставте середні значення розмірів зразка, замість Р -значення кожного з навантажень
, замість
- значення кожної зі стріл прогину
- Обчисліть модуль пружності для кожного із зразків кістки, іншого матеріалу.
2. Результати вимірювань та обчислень занесіть у таблицю по кожному зразку.
3. За одержаними даними побудуйте графік залежності E=f(p) для кожного матеріалу.
4. Проаналізуйте результати та зробіть відповідні висновки.
Завдання для самостійної работи.
1. Що називається деформацією тіла? Перерахуйте види деформацій.
2. Щоназивається абсолютною, відносною деформацією тіла? Як вони визначаються?
3. Що називається механічною напругою? За якою формулою вона визначається?
4. Сформулюйте закон Гука. Запишіть його аналітичне зображення. Наведіть графік залежності механічної напруги від відносної деформації. Поясніть, що таке межа пружності, межа міцності та коли наступає руйнування зразка.
5. Обгрунтуйте метод визначення модуля Юнга і залежність пружної деформації від навантаження.
6. Опишіть лабораторну установку.
7. Поясніть порядок виконання роботи.
Таблиця №1 вимірювань та розрахунків:
| Величини | Значення величин | ||||||
| P=mg[H] | |||||||
| λ[mm] | |||||||
| E[Пd] |
Завдання для перевірки знань за темою:
1.Що таке деформація?
1. Змінення форми й об’єму тіла під впливом температури.
2. Змінення внутрішніх сил під впливом форми тіла.
3. Змінення механічної напруги під впливом зовнішніх сил.
4. Змінення форми й об’єм тіла під впливом зовнішніх сил.
5. Змінення температури тіла під впливом зовнішніх сил .
2.За якою формулою розраховують відносну деформацію зразка під час повздовжнього розтягнення?
-
; -
; -
; -
; -
.
3.Що дійсно встановив Гук під час вивчення пружної деформації?
1. Механічна напруга зворотньо пропорційна до деформації тіла.
2. Механічна напруга прямо пропорційна до деформації тіла.
3. Деформація тіла дорівнює механічній напрузі.
4. Механічна напруга пропорційна модулю пружності.
5. Механічна напруга дорівнює модулю пружності.
4.Для якого виду деформації встановлено закон Гука?
1. Пластичної деформації.
2. Пружної деформації.
3. В’язко-пружньої деформації.
4. Пружньо-в'язкої деформації.
5. Пластично – в'язкої деформації.
5.Відносна зміна товщини зразка при повздовжньому розтягненні дорівнює до:
1.
;
2.
;
3.
;
4.
;
5.
.
6. Як визначають величину механічної напруги?
1. Відношенням зовнішньої сили до площі поперечного перетину.
2. Відношенням внутрішньої сили до площі поперечного перетину.
3. Відношенням абсолютної величини подовження до площі поперечного перетину.
4. Відношенням абсолютної величини подовження до початкової довжини тіла.
5. Відношенням початкової довжини тіла до площі поперечного перетину.
7.Межею пружності називають:
1. Найбільшу (максимальну) напругу, коли деформація має пружню природу.
2. Найменшу (мінімальну) напругу, коли деформація має пружню природу.
3. Найбільшу (максимальну) напругу, коли деформація має пластичну природу.
4. Найбільшу (максимальну) напругу в матеріалі під впливом зовнішньої сили.
8.Коефіцієнт Пуассона – це:
1. Відношення відносної зміни повздовжнього розміру до відносної зміни поперечного розміру.
2. Відношення відносної зміни поздовжнього розміру до відносної зміни механічної напруги.
3. Відношення відносної зміни поперечного розміру до відносної зміни поздовжнього розміру.
4. Відношення відносної зміни поперечного розміру до відносної зміни площі поперечного перетину.
5. Відношення відносної зміни поздовжнього розміру до відносної зміни площі поперечного перетину.
9.Яка формула використовувалася для обчислення (модуля пружності) для стриженя.
1.
;
2.
;
3.
;
4.
;
5.
.
10.Яку величину ви вимірювали мекрометром ?
- Межу пружності.
- Механічну напругу.
- Деформацію.
- Стрілу прогину.
- Модуль пружності.
Еталони відповіді:
1- 4; 2-4; 3-2; 4-2; 5-1; 6-1; 7-1; 8- 1 9-5; 10-4.
Література:
1. Чалий О.В., Агапов Б.М., Цехмістер Я.В. та інш. “Медична і біологічна фізика” - К.: Книг-плюс, 2005, с. 115-123, 178-183.
2. Ремизов А.Н. “Медицинская и биологическая физика” - М, “Высшая школа”, 1987, с.185-198.
3. Конспект лекцій.
4. Методичні розробки.
Тема: Вивчення механізму первинної дії постійного
електричного струму на імітатори тканин організму
за допомогою апарата для гальванізації.
Мета роботи: Ознайомитись з будовою та принципом роботи апарата для
гальванізації; вивчити механізм первинної дії постійного електричного
струму на тканини організму.
Прибори та матеріали:апарат для гальванізації "Потік 1", електронний осцилограф, з’єднуючі проводники, імітатори тканин організму.
І. Теоретичне обгрунтування роботи.
І.1. Призначення апарату для гальванізації.
Апарат для гальванізації "Потік 1" є джерелом постійного струму, який
використовується в медицині для проведення лікування постійним електричним струмом.
І.2. Будова (основні блоки) апарата для гальванізації.
Принципіальна схема апарата для гальванізації "Потік 1" зображена на рис.9.
Він складається з таких блоків:
1 - блок живлення; 2 - двонапівперіодний випрямувач; 3 - електричний фільтр;
4 - блок пацієнта, куди входять потенціометр, міліамперметр з шунтом, електроди пацієнта.
І.3. Принцип роботи апарата для гальванізації.
Апарат вмикають в коло з напругою 220в.. За допомогою трансформатора напруга знижується до 80 - 60в. і подається на випрямувач. У випрямувачі можна здійснити однонапівперіодне випрямлення змінного струму (рис. 10, б,в). Цей струм передається на потенціометр Z, який використовується для регуляції сили струму в колі пацієнта. За допомогою міліамперметра вимірюється сила струму. Шунт, який підключається до міліамперметра, необхідний для розширення межі вимірювання міліамперметра.
Постійний струм поступає на електроди пацієнта. Електроди пацієнта накладаються на прокладки, які змочені водою, або розчином солі будь - якого металу, іони якого необхідно ввести в організм людини.
Для спостереження за випрямленням струму в блоці випрямича вмонтований вимикач В1 для спостереження згладжуючої дії електричного фільтра вмонтовано на апараті два вимикача. В2 - паралельно дроселю, В3 - коло конденсаторів.
Вся електрична схема апарата змонтована в корпусі. Зовнішній вигляд апарату "Потік 1" приведений на рис12.
І.4. Механізм первинної дії постійного струму на тканини організму.
Тканини організму за своїми електричними властивостями являють собою різнорідне середовище. Частина тканин (білки, жири, вуглеводи та ін.) мають властивості діелектриків. Біологічні рідини, які містяться в тканинах та клітинах, або омивають їх (лімфа, кров та ін.)складаються з органічних коллоїдів, розчинів електролитів, тому мають добрі електропроводні властивості та належність до тканин, які проводять струм.
Найкращу електропровідність мають спинномозгова рідина та сиворотка крові. Декілька меншу - цільна кров та м’язова тканина. Ще менше - електропровідність тканин внутрішніх органів, а також мозкової, нервової, з’єднуючої тканин. Гіршими провідниками струму є роговий прошарок шкіри та сухожилля, особливо кісткові тканини без надкісниці. Тому вони належать до діелектриків.
Тканини організму складаються зі структурних елементів - клітин, які омиваються тканинними рідинами. Такий елемент являє собою два середовища, який відносно добре проводить струм - тканинна рідина та цитоплазма клітини. Вони поділені клітинною мембраною, яка погано проводить струм (рис.11.а).
При проходженні постійного струму по тканинам на обидва боки клітинної мембрани відбувається накопичення іонів різного знаку, утворюється система подібно зарядженому конденсатору (рис. 11, б,в).
В тканинах та клітинах зустрічаються макроскопічні утворення, які складаються із різних з’єднуючих оболонок та перегородок. Вони володіють у більшій мірі властивостями діелектриків і практично не проводять електричний струм. Но на обидвох боках утворюються або рідини, або добре проводійні тканини. Така структура тканин володіє ємкісними властивостями.
Під впливом електричного струму іони, які накопичуються на обидві боки подібних тканин, починають рухатися - відбувається їх перерозподіл та зміна концентрації в різних елементах тканин, значить і швидкість зміни струму в них залежать від сили постійного струму, який діє на тканини, прошарки шкіри та підшкірової жирової клітковини.
Тонка, ніжна, зволожена шкіра є гарним провідником струму. Навпаки - суха, груба шкіра - поганий провідник.
Первинна дія електричного струму на тканини організму пов’язана з переміщенням іонів та інших заряджених частинок. При цьому внаслідок їх різної рухомості і, головним чином, затримки і накопичення їх у напівпроникливих мембранах, в тканевих елементах та всередині і зовні клітини відбувається зміна концентрації іонів. Це викликає функціональні зміни стану клітин та інші фізіологічні процеси в тканинах. Таким чином, в основі первинної дії постійного струму на організм лежить зміна концентрації іонів у тканинних утвореннях.
Лікувальний метод, у якому використовується дія постійного струму на тканини організму , називається гальванізацією. Взагалі, гальванізацію проводять сумісно з введенням в організм за допомогою постійного струму лікарські речовини, які утворюють в розчині іони. Цей метод зветься лікувальним електрофорезом.
При електрофорезі та гальванізації використовують електроди з листового свинцю або станіолю товщиною 0,3 - 0,5мм. При цьому між електродами та шкірою розташовують гідрофільні прокладки.
При електрофорезі прокладку під електродом змочують розчинами солі тих металів, іони яких треба ввести в організм. Із прокладки під негативним електродом вводяться кислотні радикали, а також негативно заряджені частинки складних з’єднань.
Наприклад, з позитивного електрода вводяться в організм іони натрію, кальцію, магнію, хінін (з хлористої солі), новокаїн; з негативного - бром. хлор, йод, радикал фосфорної кислоти, радикал соліцилової кислоти, пеніцилін, тощо.
При лікувальному електрофорезі між електродами утворюється складне коло, яке складається з лікарських речовин, якими змочені прокладки, і розчинів електролитів, які входять у склад тканин організму.
На рис.12 показана ділянка тканин організму, на яку накладені електроди з прокладками П. Під позитивним електродом прокладка П змочена розчином хлористого кальцію CaCl2 під негативним - йодистого калія. Напрямок руху іонів показаний стрілкою. Сама тканина містить розчин хлористого натрію NaCl. На ділянках a, b і d показані поляризаційні явища - накопичення іонів по обидва боки тканевих перегородок, які погано проводять струм.
ІІ.1.Техніка безпеки при роботі з апаратом для гальванізації.
При роботі з апаратом для гальванізації "Потік 1" забороняється:
1. Приступати до роботи, не ознайомившись з інструкцією по його
експлуатації.
2. Підключати або відключати заземлення та заміняти запобіжники при
включеному апараті.
3. Замінювати електроди і провода на включеному апараті.
|
ІІІ Порядок виконання роботи.
1. Підготувати до роботи електронний осцилограф.
2. Підключити апарат для гальванізації на вертикальний вхід електронного осцилографа.
3. Ввимкнути апарат для гальванізації в мережу.
4. Поставити вимикач В1 у положення "однонапівперіодне спрямлення",
В2 - в положення "дросель відключений",
В3 - в положення "конденсатор вимикнутий".
5. Встановити потенціометр апарата в середнє положення.
6. За допомогою вертикального підсилювача осцилографа одержати на екрані зображення, яке не виходить за його межі. Намалювати його.
7. Ввімкнути вимикачем В2 дросель, намалювати одержане зображення.
8. Ввімкнути дросель вимикачем В3, ввімкнути конденсатори, намалювати одержане зображення.
9. Ввімкнути В2 (весь фільтр повністю). Замалювати одержане зображення.
10. Такі ж самі спостереження провести в положенні "двонапівперіодне випрямлення".
11. Проаналізувати одержані результати. Зробити висновки.
12. Вимкнути апарат із мережі.
IV. Питання для самоконтролю.
1. Електропровідні властивості тканин організму.
2. Дія постійного струму на різні за проводимістю тканини.
3. Біофізичні основи методу гальванізації та електрофорезу.
4. Використання методів гальванізації та електрофорезу в медицині.
5. Будова та принцип дії апарата для гальванізації.
6. Випрямлення та згладження змінного струму.
7. Порядок виконання роботи.
8. Правила техніки безпеки при роботі з апаратом для гальванізації.
Завдання для перевірки знань за темою:
1. Назвіть лікувальну методику, у якій використовується постійний струм:
1. Гальванізація і електрофорез.
2. Індуктотермія.
3. Діатермокоагуляція.
4. Діатермія.
5. Дарсонвалізація.
2. Величина напруги, що використовується в апараті для гальванізації:
1. 10 – 20 V.
1. 100 – 120 V.
1. 60 – 80 V.
1. 80 – 150 V.
3. Яку фізіологічну дію викликає в організмі постійний струм?
1. Подразнювальну.
2. Механічну.
3. Теплову.
4. Хімічну.
5. Заспокійливу.
4.За допомогою якого електричного струму відбувається електрофорез ліків
апаратом " Потік "?
1. Постійного.
2. Високочастотного.
3. Імпульсного.
4. Низькочастотного.
5. Надтональної частоти.
5.Який фізичний фактор виробляє апарат для гальванізації?
1. Постійний струм.
2. Імпульсний струм.
3. Змінний струм.
4. Струм високої частоти.
5. Струм УВЧ.
6.Гальванізація – це:
1. Стимуляція тканин постійним струмом.
2. Введення іонів лікарських речовин за допомогою електричного поля.
3. Стимуляція тканин змінним струмом.
4. Стимуляція тканин змінним магнітним полем.
7.Електрофорез – це:
1. Стимуляція тканин постійним струмом.
2. Введення іонів лікарських речовин за допомогою постійного електричного струму.
3. Стимуляція тканин змінним струмом.
4. Стимуляція тканин змінним магнітним полем.
8.Апарат для гальванізації – це:
1. Джерело постійного струму.
2. Джерело змінного струму.
3. Підсилювач біопотенціалів.
4. Джерело магнітного поля.
9.Що є фізичним сенсом електрофорезу?
1. Рух незаряджених часток у розчині під дією електричного поля.
2. Рух заряджених часток у розчині під дією електричного поля.
3. Можливість розповсюдження електричного струму.
4. Можливість збудження магнітного поля.
10.Для випрямлення змінного струму в апараті для гальванізації використовується:
1. Трансформатор.
2. Діод.
3. Резистор.
4. Ємність.
Еталони відповіді: 1-1; 2-3; 3-1; 4-1; 5-1; 6-1; 7-1,2; 8-1; 9-2; 10-2.
Література.
- Чалий О.В., Агапов Б.М., Цехмістер Я.В. та інш. “Медична і біологічна фізика” - К.: Книг-плюс, 2005, с. 229-231
- Ремизов А.Н. “Курс физики, электроники, и кибернетики для мединститутов” - М,
1982, с.217-218, 255-259. 263-265.
- Ливенцев Н.М. “Курс фізики”, - М, 1978, т.1, с 140-149.
- Методична розробка.
- Конспект лекцій.
Тема: Вивчення апарата – УВЧ – терапії та теплового ефекту дії змінного електричного поля УВЧ на імітатори біологічних тканин.
Мета роботи: Вивчити будову та принцип дії апарату УВЧ – терапії; дослідити ефект дії електричного поля УВЧ на імітатори біологічних тканин.
Прибори та матеріали: апарат УВЧ – терапії, кювети з електролітом та діелектриком, термометри, неонова лампочка.
І. Теоретичне обґрунтування теми.
Апарат УВЧ – терапії призначений для використання з лікувальною ціллю – дії на тканини та органи змінним електричним полем ультрависокої частоти (30 – 300 МГЦ). Метод УВЧ – терапії використовується при лікуванні процесів запалення при невралгії, бронхіальній астмі тощо.
Основні блоки та їх функціональне значення. Принципова схема апарата УВЧ – терапії зображена на мал. 1. Апарат УВЧ – терапії складається з таких блоків – двотактного лампового генератора (ЛГ), терапевтичного контуру (ТК), та блока живлення.
1.Ламповий генератор (ЛГ) використовується для здобування незатухаючих електромагнітних коливань. Основні його частини: коливальний контур (КК); джерело електричної енергії Еа; електронні лампи
і
, котушка зворотнього з’язку Lc, яка включена в мережу лампових сіток.
Коливальний контур (КК) включений в анодні кола ламп
і
та призначений для збудження незатухаючих електромагнітних коливань. Частота цих коливань залежить від індуктивності Lа котушки та ємності Са конденсатора контуру та визначається за формулою Томпсона:
.
Джерело електричної енергії Еа використовується для періодичної подачі її в контур, щоб підтримати незатухаючі коливання.
Електронні лампи
і
призначені для регулювання подачі енергії від джерела Еа в контур ТК. Подача змінної напруги із вихідного кола на сітки ламп
і
проводиться завдяки наявності котушки зворотнього з’язку Lс. Електромагнітні коливання, які одержані в генераторі, передаються в терапевтичний контур, індуктивно від котушки Lа в котушку Lf . Індуктивний зв’язок контурів виключає можливість попадання хворого під високу напругу Uа, гарантуючи тим самим його безпеку.
2. Терапевтичний контур складається:
1) з коливального контуру з котушкою індуктивності Lт та конденсатора змінної ємкості Ст;
2) з електродів пацієнта, які підключаються до означеного коливального контуру Еп .
Між електродами пацієнта виникає змінне електричне поле, частота якого залежить від індуктивності Lт та ємності Ст контуру, а також від ємності між електродами пацієнта. Потужність у терапевтичному контурі найбільша тоді, коли частота власних коливань терапевтичного контуру співпадає з частотою коливань, які виникають в анодному контурі КК лампового генератора.
Тому при різних процедурах ємність між електродами пацієнта змінюється, і кожен раз потрібно проводити настроювання терапевтичного контуру в резонанс, змінюючи ємність конденсатора Ст.
3.Блок живлення складається з підвищуючого трансформатора та випрямлювача змінного струму. Перемикач “Потужність” змінює спідвищую величину напруги, яка подається із трансформатора на випрямлювач в анодне коло підсилювача і призначений для встановлення заданої величини віддаваємої апаратом потужності – 0, 20, 40, 70 Вт.
Електрична схема апарата змонтована в металевому корпусі. Окремі елементи схеми додатково екрановані. Елементи управління знаходяться на передній панелі і мають таке призначення:
1 – перемикач “Напруга” служить для регуліровки режимів роботи апарата в умовах коливання напруги в мережі;
2 – кнопка “Контроль” при натисканні подає напругу від мережі на вимірюючий прилад для контролю, у не натиснутому стані вимірює струм у терапевтичному коливальному контурі;
3 – перемикач “Потужність” має чотири положення : 0, 20, 40, 70 Вт та служить для перемикання потужності, яка віддається генератором в коло пацієнта;
4 – ручка “Настройка “, служить для зміни ємності Ст змінного конденсатора;
5 – стрілочний вимірювальний прилад використовується для контролю напруги в зовнішній мережі струму, а також для спостереження за настройкою терапевтичного коливального контуру.
На правій боковій стінці апарата:
1) закріплені два кронштейна, що мають шарнірні з’єднання, за допомогою яких забезпечюється різне положення електродів пацієнта Еп.
2) а також дві клеми підключення електродів до апарату.
Механізм первинної дії електричного поля УВЧ на тканини організму.
I. Електричне поле УВЧ первинно може діяти на молекули, які мають електричний дипольний момент відмінний від нуля, та іони тканин організму. В результаті цієї дії в тканинах виділяється значна кількість теплоти, що призводить до активізації фізіологічних та біохімічних процесів. Кількість теплоти, яка виділяється у внутрішніх частинах організму залежить від електричних властивостей тканин, величин параметрів електричного поля УВЧ. За електричними властивостями, біологічні тканини можна віднести до двох видів:
1) електропровідні тканини, до складу яких входять вільні носії електричних зарядів – іони. Вони добре проводять електричний струм і їх можна характеризувати активним опором.;
2) діелектричні тканини, до складу яких входять молекули – диполі. Вони погано проводять електричний струм.
Під дією електричного поля в них відбувається поляризація , яку можна характеризувати як струм зміщення. До перших належать лімфа, кров, спинномозкова рідина, м’язова, нервова та деякі інші тканини, і коло цих тканин можна характеризувати ємкісним опором.
До других – кістки, сухожилля, жирова тканина, суха шкіра, молекули води – диполі у різних тканинах.
В тканинах, які добре проводять електричний струм, знаходиться деяка кількість вільних іонів. Під дією електричного поля УВЧ в тканинах виникає струм проводимості,як коливання іонів. При цьому енергія струму переходить у внутрішню енергію тканини, яка за законом Джоуля – Ленца може бути розрахована за формулою:
[ 1 ],
де: U – напруга між електродами пацієнта;
R – активний опір ділянки тканини, яка розташована між електродами;
t - час дії електричного поля.
Відомо, що U = Е · ℓ , а
, де Е – ефективна напруженість електричного поля, ℓ – товщина тканини,
- питомий опір тканини, S – площина цієї ділянки, то підставивши ці значення в формулу [1], одержимо розрахункову формулу [2] для визначення кількості теплоти:
[ 2 ],
де V – об’єм ділянки тканини між електродами.
За одиницю часу в одиниці об’єму в ділянці тканини виділиться кількість теплоти:
[ 3 ],
В тканинах діелектриках під дією елекртичного поля УВЧ відбувається безперервна переорієнтація дипольних молекул.
При цьому коливання диполей відстають по фазі від коливань напруженості електричного поля Е на кут
, який називають кутом діелектричних втрат.
Через те, що тканина-діелектрик має ємкісний опір, то в ній виникає струм “зміщення”, енергія якого переходить у внутрішню енергію тканин.
Кількість теплоти, яка виділяється в означених тканинах визначається за законом Джоуля – Ленца за формулою:
Q
= Imax · Umax · t · cos
[ 4 ],
де
- кут, що, показує зсув фаз між струмом та напругою в колі з ємкісним опором (мал.3);
Iа – активна складова струму (мал. 3);
Iр – реактивна складова струму (мал. 3);
t – час дії поля УВЧ на тканини;
Imax, Umax – амплітудні значення струму та напруги в колі з ємкісним опором.
Із мал. 3
[ 5 ]
[ 6 ]
[ 7 ]
Підставивши в формулу [ 4 ] замість Imax · cos
його значення з формули [ 7 ], одержимо
[ 8 ] .
Тому що Umax = Еmax · ℓ; 
де Еmax – амплітудне значення напруженості електричного поля;
ℓ– товщина ділянки тканини;
Хc – ємкісний опір ділянки тканини, Хс = 1/wc;
с – ємкість тканини діелектрика,
;
де S – площина тканини діелектрика між електродами пацієнта;
- відносна діелектрична проникливість діелектрика,
- електрична постійна;
t – час дії поля, припустимо t=1с
Підставивши послідовно вказані значення величин струму, напруги, ємкісного опору ємності і часу t=1с у формулу [ 8 ], одержимо:
[9 ] .
Тобто,
, [10 ]
де, V = l ·S – об’єм ділянки тканини, яка розташована між електродами.
Кількість теплоти, яка виділяється в одиниці об’єму тканини за одиницю часу можна розрахувати за формулою: q
=
;
[ 11].
До складу організму входять тканини, які мають властивості як діелектриків, так і провідників електричного струму. Таким чином, кількість теплоти, яка виділяється в одиниці об'єму за одиницю часу може бути визначена за формулою q = q
+ q
.
У апарата УВЧ-66 стабілізована частота становить 40,68 мГц. При цій частоті нагрівання тканин діелектриків відбувається більше і, ніж тканин, що проводять струм.
Як імітатори тканин організму використовують рідини, які мають властивості як провідників, так і діелектриків. Їх використовують для вивчення теплової дії поля УВЧ на тканини, які проводять та не проводять струм. Досліджувані рідини розташовують в кюветах із оргскла. Їх об’єм в кюветах повинен бути однаковим. Рідини, які проводять струм, повинні мати однакову теплоємкість. Для вимірювання температури використовують термометри з однаковою ціною поділок. Час дії поля УВЧ на імітатори тканини повинен бути однаковим. Вимірювання температури проводиться через однакові проміжки часу.
ІІ. Техніка безпеки при роботі з апаратом УВЧ – терапії.
При роботі з апаратом УВЧ – терапії забороняється:
1) приступати до роботи, не ознайомившись із інструкцією по його експлуатації;
2) підключати або відключати заземлення та заміняти запобіжники при включеному апараті;
3) підключати та підносити до проводів та електродів апарата металеві предмети, щоб уникнути опіку струмами високої частоти;
4) заміняти електроди та провід при включеному апараті.
ІІІ. Порядок виконання роботи.
ІІІ.І Підготовка апарата УВЧ – терапії до роботи.
1. Встановити електроди на відстані, вказаній викладачем.
2. Перевірити заземлення апарату і включити його в мережу.
3. Перемикач “Напруга” поставити в положення 1, при цьому повинна загорітися сигнальна лампочка,
4. Давити кнопку “Контроль” і, повертаючи перемикач напруги, встановити стрілку вимірювального приладу апарата на середину червоного сектора.
5. Встановити перемикач “Потужність” на задане викладачем значення.
6. Ручкою “Настройка” добитися максимального світіння індикаторної лампочки, або максимально відхилення стрілки електровимірювального приладу.
ІІІ.ІІ Дослідження теплової дії електричного поля УВЧ на імітатор тканин.
1. Заміряти початкову температуру імітаторів тканин та записати дані в таблицю.
| t = 5 хвилин | t C
| t C
| t C
| t C
| t C
|
| Фізрозчин NaCl | |||||
Розчин CuSO4
| |||||
| Касторове масло |
2. Розташувати кювети між електродами пацієнта. Ручкою “Настройка” добитися максимального світіння неонової лампочки або максимальне відхилення стрілки прибору і почати відлік часу.
3. Через кожні п’ять хвилин знімати показання термометрів.
4. Дані, одержані в досліді, занести в таблицю.
5. Побудувати 3 графіки залежності температури досліджуваних рідин від часу дії на них електричного поля УВЧ на одній системі координат, різними кольорами.
6. Зробити висновок.
ІV. Питання для самоконтролю.
1. Які електричні властивості мають тканини організму? Чим вони пояснюються?
2. Який первинний механізм дії електричного поля УВЧ на тканини, що мають електропровідні властивості?
3. Який первинний механізм дії електричного поля УВЧ на тканини, що мають властивості діелектриків?
4. За якою формулою можна визначити кількість теплоти, яка виділяється під дією електричного поля УВЧ у тканинах – провідниках струму?
5. За якою формулою можна визначити кількість теплоти, під дією електричного поля УВЧ у тканинах – діелектриках.
6. Для чого призначений апарат УВЧ терапії?
7. Основні блоки апарата УВЧ – терапії?
8. Електрична схема апарата УВЧ – терапії?
9. Поясніть призначення, будову та принцип роботи двотактового лампового генератора, його електричну схему, призначення окремих елементів схеми.
10. Поясніть призначення, будову та принцип роботи терапевтичного контура, який використовується в апараті УВЧ – терапії, його схему, призначення окремих елементів схеми.
11. Які ручки управління використовуються в апараті УВЧ – терапії, їх назва та призначення.
12. Як перевірити дослідним шляхом, в яких тканинах – провідниках чи діелектриках виділяється більше теплоти?
13. Як підготувати апарат УВЧ – терапії до роботи?
14. Як налаштувати терапевтичний контур у резонанс з коливаннями в генераторі апарата УВЧ - терапії?
15. Які правила техніки безпеки треба виконувати при роботі з апаратом УВЧ – терапії?
Завдання для перевірки знань за темою:
1.Яким фізичним фактором діють на пацієнта при проведенні УВЧ – терапії?
- Електричним полем УВЧ.
- Електричним струмом УВЧ.
- Магнітним полем УВЧ.
- Електричним струмом ВЧ.
- Постійним електричним полем.
2.Вкажіть частоту коливань, що використовується в апараті УВЧ – терапії:
- 30,2 Мгц; 2. 20 кГц; 3. 1000 Гц; 4. 40,58 Мгц; 5. 40 кГц.
3.Для чого в апараті УВЧ - терапії використовується терапевтичний контур?
1. Для безпеки пацієнта.
2. Для одержання незатухаючих коливань.
3. Для зміни частоти коливань.
4. Для зміни довжини хвилі.
5. Для захисту пацієнта від зовнішніх полів.
4.Кількість теплоти, яка виділяється в електролітах, що знаходяться в електричному полі УВЧ, визначається за формулою:
-
; -
; -
; -
.
5.Завдяки УВЧ руху іонів у полі відбувається:
- Нагрівання діелектриків.
- Нагрівання електролітів.
- Охолоджування діелектриків.
- Охолоджування електролітів.
6.Нагрівання електролітів у полі відбувається завдяки:
1. УВЧ руху іонів, тобто струму провідності.
2. Неперервної переорієнтації дипольних молекул.
3. Струмам зміщення.
4. Намагнічуванню тканин.
7.Кількість теплоти, що виділяється в діелектриках, які знаходяться в електричному полі УВЧ, визначається за формулою:
1.
;
2.
;
3.
;
4.
.
8.Нагрівання діелектриків у полі відбувається завдяки:
1. Намагнічуванню тканин.
2. Струмам провідності.
3. Неперервної переорієнтації дипольних молекул.
4. УВЧ руху іонів.
9.Завдяки неперервної переорієнтації дипольних молекул у полі відбувається:
1. Нагрівання електролітів.
2. Нагрівання діелектриків.
3. Охолоджування діелектриків.
4. Охолоджування електролітів.
10.Для чого використовується в медичній практиці апарат УВЧ - терапії?
1. Для прогрівання тканин організму, які знаходяться на глибині,
за допомогою електричного поля УВЧ.
2. Для прогрівання тканин організму, які знаходяться на глибині,
за допомогою магнітного поля УВЧ.
3. Для прогрівання тканин організму, які знаходяться на глибині,
за допомогою електричного струму УВЧ.
4. Для прогрівання тканин організму, які знаходяться на глибині,
за допомогою постійного електричного струму.
5. Для прогрівання тканин організму, які знаходяться на глибині,
за допомогою імпульсного струму.
Еталони відповіді: 1-1; 2-4; 3-1; 4-2; 5- 2; 6-1; 7-4; 8-3; 9-2; 10-1;
Література.
- Чалий О.В., Агапов Б.М., Цехмістер Я.В. та інш. “Медична і біологічна фізика” - К.: Книга-плюс, 2005, с. 276, 325-330
- Тиманюк В.А., Животова Е.Н. “Биофизика”- Х.: Изд-во НФАУ Золотые страницы, 2003, с.501-502
- Ремизов А.Н. “Медична та біологічна фізика” - М, 1982, с.193-236
- Ливенцев Н.М. “Курс фізики”, - М, 1978, т.1, с 57-60, т2., с.152
|
|
|
Тема: Моделювання електрокардіограми в стандартних відведеннях
Мета роботи: Вивчити основні положення теорії електрокардіографії, основні параметри ЕКГ: установити зв'язок між різницею потенціалів у відведенні та проекцією електричного вектора серця на вісь відведення, побудувати модельні криві ЕКГ у I, II, III, стандартних відведеннях.
Прилади та матеріали: модель фронтальної площини організму, джерело постійного струму, вольтметр або електронний осцилограф.
Обґрунтування необхідності вивчення теми.
Методику реєстрації різниці потенціалів на поверхні організму пов'язаного з роботою серця, називають електрокардіографією. Аналіз електрокардіограм використовують як метод діагностики захворювань серця.
Така постановка питання включає рішення двох задач.
Перша, пряма – з'ясування природи електричного генератора серця. Встановлення однозначного зв'язку між змінною параметрів генератора і характером зміни електрокардіограми.
Друга, обернена, діагностична – з'ясування стану електричного генератора серця по його електрокардіограмі.
Нарешті, на базі перших двох задач вирішується третя, практична-лікувальна. Повернення стану органу у норму при постійному контролю електрокардіограмою.
Біофізичні основи теорії електрокардіографії.
Щоб встановити такий зв'язок потрібно знайти формалізовану, абстраговану від детальної структури серця, модель електричного генератора серця. Потрібно також, щоб реальні зміни різниці потенціалів на поверхні організму кореговане зі змінами формалізованої моделі електричного генератора серця.
1. Електричні властивості серця описують за допомогою токового генератора, що представляють у виді еквівалентного токового диполя. Формально його зображують у виді вектора – електричного вектора серця –
2. Електричний токовий диполь (серце) розташований в однорідному електропровідному середовищі організму з питомим опором r. Однак, цей момент теорії не безперечний тому, що в різних напрямках від серця до поверхні електропровідність середовища не можна вважати однаковою.
3. Дипольні представлення про походження потенціалів електричного поля на поверхні справедливі за умови, що розміри (плече) диполя l істотно менше відстаней r від серця (диполя) до точок виміру потенціалу (точок відведення), тобто r >>ℓ.
4. Передбачається, що початок електричного вектора серця розташован в електричному центрі серця і не змінює свого положення протягом кардіоциклу. Зазначене припущення не безперечно, тому що дискусія про існування електричного центра серця виявилася марною.
5. Передбачається, що кінець електричного вектора серця в процесі одного кардіоциклу в проекції на фронтальну, сагітальну і горизонтальну площини організму описує три петлі P,QRS,T. Точки відведень, повинні бути розташовані на поверхні організму, на рівні відстані від електричного центра серця.
6. Дві точки на поверхні організму, між якими виміряється різниця потенціалів називається відведенням.
7. Гіпотетична лінія, що з'єднує дві точки відведення, називається віссю відведення.
З віссю відведення зв'язують вектор відведення. Вектор відведення починається на точці відведення, яка має негативний потенціал і спрямований по осі відведення убік точки відведення з позитивним потенціалом.
8. Графічний запис зміни в часі різниці потенціалів між точками відведення називається електрокардіограмою в даному відведенні.
9. Точка відведення, що має позитивний потенціал, називається активною і підключається через електрод-провідник до позитивного полюса реєструючого пристрою. Точка відведення, що має негативний чи нульовий потенціал підключають до негативного полюса реєструючого пристрою. Такий вибір полярності точок відведення робиться свідомо, щоб усі найбільш істотні елементи електрокардіограм знаходилися вище ізолінії, тобто мали позитивні значення потенціалів. Крім того, це диктується ще і тим, щоб масові виміри ЕКГ проводилися в однакових умовах.
10. Ключовий момент теорії полягає в тім, що величина проекції електричного вектора серця на вектор обраного відведення, пропорційна реально вимірювані різниці потенціалів на поверхні організму – принцип Єйнтховена.
На мал. 15 представлений зв'язок між вектором серця D, вектором відведення S і величиною проекції вектора D на вектор S.
Величина проекції залежить від косинуса кута між векторами і можливі три крайніх випадки:
1. Якщо a=0, то cos a=1 спрямовані вектори в одну сторону, а величина проекції максимальна і збігається з модулем вектора 
У реальній електрокардіограмі будуть реєструватися позитивні зубці з максимальним значенням, і розташовані вони вище ізолінії.
2. Якщо ; вектор
перпендикулярний вектору
відведення, це значить, що величина проекції Ds=0.
У реальної ЕКГ буде реєструватися лінія нульового потенціалу чи ізолінія.
3.Якщо a=p, cos p= - 1, це значить, що вектори спрямовані в протилежні сторони, а величина проекції має знак мінус, а по модулю дорівнює модулю вектора
У реальній електрокардіограмі буде зареєстрований негативний за знаком зубець максимальної по модулю величини, що знаходиться нижче ізолінії.
Трикутник В. Ейнтховена.
Ґрунтуючись на вище викладених принципах і з метою стандартизації електрокардіологічних вимірів у різних людей В.Ейнтховен у 1903р. запропонував вважати, що початок електричного вектора серця розташована в центрі рівностороннього трикутника, вершини якого розташовані на медіальних поверхнях нижньої третини лівого (ЛР) і правого (ПР) передпліччя і гомілки лівої ноги (ЛН).
У такий способом виконується дві умови при яких серце рівновіддалене від точок реєстрації різниці потенціалів і точок виміру потенціалів r >> l. З іншої сторони фіксовані точки на поверхні організму між якими виміряється різниця потенціалів розташовані далеко від вектора серця r >> l, тобто диполь серця є крапковим. Усередині трикутника Ейнтховена можна зобразити три петлі P,QRS,T, що описують миттєві напрямки електричного вектора серця за один кардіоцикл у фронтальній площині організму.
Усі петлі мають загальну крапку, що називають електричним центром серця і розташовують її в центрі трикутника.
Різниця потенціалів, виміряється між кожною парою вершин трикутника, повинна дорівнювати проекції послідовних миттєвих значень вектора серця трьох петель P,QRS,T.
Відведення, зареєстровані від кожної пари вершин трикутника Ейнтховена, одержали назви стандартних відведень.
Стандартних відведень три, позначаються вони римськими цифрами I, II, III.
У кожну вершину трикутника, розташовану на медіальній поверхні нижньої третини передпліч правої руки (ПР), лівої руки (ЛР) і гомілки лівої ноги (ЛН) поміщають металеві пластинки визначеного розміру – електроди. Їх з'єднують наконечниками через кабель відведення із системою електрокардіографа, що реєструє різницю потенціалів, клеми якого мають знаки «+» і « – ». Для практичних цілей використовується колірне і буквене маркірування наконечників кабелю відведень.
Права рука, ПР – R ( right ) – червоний.
Ліва рука, ЛР – L ( left ) – жовтий.
Ліва нога, ЛН – F ( foot ) – зелений.
Права нога, ПН – N – чорний.
Грудний електрод, З – білий.
Перше стандартне відведення – I - реєструється між лівою рукою (ЛР) і правою рукою (ПР), причому ЛР - + «плюс», а ПР - - «мінус». Вектор відведення спрямований від ПР до ЛР по стороні трикутника Ейнтховена.
Друге стандартне відведення – II – реєструється між правою рукою (ПР) і лівою ногою (ЛН), причому ПР - - «мінус», а ЛН - + «плюс». Вектор відведення, спрямований від ПР до ЛН по стороні трикутника Ейнтховена.
Третє стандартне відведення – III - реєструється між лівою ногою (ЛН) і лівою рукою (ЛР), причому ЛН - + «плюс», а ЛР - - «мінус». Вектор відведення спрямований від ЛР до ЛН по стороні трикутника Ейнтховена.
Стандартні відведення є двополюсними, тому що кожен електрод є активним, тобто сприймають потенціали відповідних точок тіла.
Ейнтховен показав, що сума відведень І та ІІ дорівнює відведенню ІІ. Ця формула використовується для контролю правильності роботи електрокардіографа.
Опис основних елементів для моделювання електрокардіограми
В емальованій кюветі міститься вирізана за формою тулуба модель, що складається з пластикової основи, на який натягнений гігроскопічний матеріал. Плоска форма тулуба моделює фронтальну площину тіла людини.
Тканину змочують фізрозчином (0,5 – 1% NaCl), або просто водопровідною водою. Волога тканина моделює електропровідне середовище організму.
На модель тулуба нанесені перебільшені контури трьох петель P, QRS, T. Уздовж контуру їх розташовані контактні гнізда, що моделюють миттєві значення кінця ЕВС.
На моделі нанесений рівнобічний трикутник (трикутник Ейнтховена) із клемами на його вершинах, що моделюють точки положення електродів при зніманні електрокардіограми. У моделі передбачена можливість обертання петель P, QRS, T навколо електричного центра для моделювання відхилення електричної вісі серця вліво або вправо.

Мал. 17
Вершини трикутника мають контактні гнізда, до яких підключають вимірювальний прилад, що моделює електрокардіограф.
Джерело постійного струму моделює дипольний струмовий генератор серця.
Негативний полюс джерела підключають до клеми, що моделює електричний центр серця. Позитивний полюс з’єднують із провідником, що має на кінці штирок. Торкаючись штирком будь-якої клеми на петлях Р, QRS, T, задають положення позитивного кінця миттєвого ЕВС. Лінія, що з’єднує електричний центр та це положення вектора, задасть модуль і напрямок моментального ЕВС.
Електрична установка моделі представлена на мал. 17.
Якщо включити джерело струму, а потім у відповідній полярності підключити клеми вольтметра до клемам ПР, ЛР, ЛН, то, обходячи по черзі всі точки на петлях, можна одержати модель ЕКГ у відповідному відведенні.
Основні параметри електрокардіограми
На мал. 4.2 представлена електрокардіограма, що включає практично всі елементи, які її характеризують:
1. Спрямовані вверх (позитивні) зубці P, R, T, U.
2. Спрямовані вниз (негативні) зубці Q, S.
3. Сегменти P – Q, S – T.
4. Інтервали P – Q, T – P, R – R.
5. Комплекси QRS, QR, ST.
6. Точка з'єднання j.
Мал
|
. 18
У реальній електрокардіографії вимірюють:
1. Амплітуду зубців P, Q, R, S, T, виражену в мілівольтах (друга ЕКГ на малюнку).
2. Тривалість зубців, сегментів, інтервалів (перша ЕКГ на малюнку).
Поняття “нормальна електрокардіограма” включає комплекс чисел, що визначають межі норм для амплітуди зубців, сегментів, інтервалів, а також форми та положення зубців щодо ізолінії.
Дата добавления: 2015-08-04; просмотров: 2177;

C
C
C
C