Передмова. В умовах сучасного науково-технічного прогресу при підготовці висококваліфікованих спеціалістів різноманітних профілів велика увага приділяється викладанню
В умовах сучасного науково-технічного прогресу при підготовці висококваліфікованих спеціалістів різноманітних профілів велика увага приділяється викладанню фізико-математичних дисциплін. Медицина успішно використовує теоретичні та експериментальні досягнення фізики.
Основні завдання фізичного практикуму при вивченні загального курсу медичної та біологічної фізики такі:
1) закріплення вивченого матеріалу та дослідна перевірка важливих ідей та законів фізики;
2) ознайомлення з сучасною науковою апаратурою та відпрацювання початкових навичок, проведення експериментальних наукових досліджень різних фізичних явищ;
3) розвиток здатності аналізувати фізичні закони та явища;
4) вивчення правил обробки результатів вимірів та оцінки їх похибок.
Навички, які отримують студенти в фізичній лабораторії, необхідні в процесі подальшого навчання та самостійної роботи. В процесі виконання фізичного практикуму необхідно творчо підходити до дослідницької роботи. Студент повинен розуміти та застосовувати теорію явищ, які він вивчає. Свідоме проведення досліду, увага та зосередженість у вимірах – необхідні умови успішного дослідження.
Студенти повинні суворо дотримуватись правил техніки безпеки та внутрішнього розпорядку.
Найважливіше правило дослідницької роботи – це дбайливе ставлення до приладів. Не можна працювати з приладами та установками, принципи дії й правила використання яких не зовсім зрозумілі. Необхідно звертати увагу на застереження про можливу небезпеку приладу при його використанні, зокрема, необхідно врахувати всі дані граничних навантажень (граничні струми, напруги, потужності для електровимірювальних приладів, граничну вагу для ваг та ін.). Не можна користуватись пошкодженими приладами; про будь-яке пошкодження необхідно повідомляти викладача. Категорично забороняється розукомплектовувати, або намагатись самостійно полагодити прилади.
Лабораторні роботи виконуються бригадами відповідно до графіка лабораторних робіт на семестр.
Лабораторні роботи необхідно виконувати згідно з методичними вказівками, з якими можна ознайомитись на стендах кафедри медичної та біологічної фізики, медінформатики, біостатистики або в бібліотеці університету.
Порядок оформлення звіту про лабораторну роботу з біофізики
МІНІСТЕРСТВО ОХОРОНИ ЗДОРОВ'Я УКРАЇНИ
ЛУГАНСЬКИЙ ДЕРЖАВНИЙ МЕДИЧНИЙ УНІВЕРСИТЕТ
Кафедра медичної та біологічної фізики, медінформатики, біостатистики
З В І Т
про лабораторну роботу
Назва роботи
студента групи
прізвище та ініціали
Допуск
Виконання
Захист
Підготовлений заздалегідь бланк звіту до лабораторної роботи повинен вміщувати:
1.Коротке формулювання завдання. Мету роботи.
2. Обладнання. Перелік і коротке пояснення принципу дії (нових) приладів, що застосовуються в даній роботі.
3. Зміст роботи, до якої входить:
а) схема установки; в разі необхідності наводиться розгорнута електрична схема, оптична схема з докладним та чітко накресленим ходом променів;
б) робоча формула (або формули); бажано привести виведення робочої формули з основних фізичних законів (робоча формула є рівняння, ліва частина якого є величина, яку належить визначити, а права представлена величинами, що вимірюються фізичними сталими та табличними даними);
в) порядок виконання лабораторної роботи;
г) формули для розрахунку відносної чи абсолютної похибки, одержані самостійно.
Перед початком роботи студент повинен одержати допуск до роботи. Для цього йому потрібно відповісти на декілька запитань з теорії та порядку проведення досліджень. Тільки після того, як викладач поставить підпис у графі “Допуск” на титульній сторінці звіту, можна починати виконання лабораторної роботи. Необхідно ознайомитись з установкою, записати в звіт дані приладів і значення сталих величин, які використовуються у роботі. Підключення приладів, електричних схем, освітлювачів т. ін. дозволяється тільки після перевірки викладачем. Непідготовлений студент до роботи не допускається.
Після закінчення вимірів необхідно показати одержані результати викладачеві, який перевіряє та підписує їх (без підпису викладача робота вважається невиконаною). При якісній підготовці до лабораторної роботи, організованому та цілеспрямованому її виконанні, можна оформити та здати її на цьому ж занятті.
Крім перерахованих вище 3 пунктів домашньої підготовки звіту, останній повинен також вміщувати:
4.Результати вимірів у вигляді таблиць з найменуванням фізичних величин. У таблиці, або ж в примітках до неї, повинні бути вказані похибки вимірів, що обумовлені приладами, та випадкові відхилення.
5.Обрахунок результатів за формою: записується робоча формула в загальному вигляді, потім таж формула з підстановкою чисельних значень, а потім - відповідь. Проміжні розрахунки не наводяться. Якщо всі величини мають розмірність у системі СІ, їх найменування при підстановці в робочу формулу можна не записувати. За умови багаторазового повторення вимірювання одних і тих же величин використовуються їхні середні значення. У випадках, коли усереднення одержаних величин неможливо зробити (наприклад, при зміні умов кожного окремого досліду), в звіті достатньо навести лише один приклад обчислення за приведеною вище формою.
6.Приклад обчислення похибок (абсолютної та відносної) величин, які визначаються в роботі.
7.Кінцевий результат із зазначенням його абсолютної та відносної похибок.
8.Якщо потрібні графіки, виконати їх на міліметровому папері.
9.Висновки: тут належать порівняння одержаних величин із табличними або ж теоретичними значеннями; висновки про можливі причини відхилень, про роль різноманітних джерел похибок, про причини виявлених залежностей, про вади застосованого методу, приладів і схем, застосування метода в медицині.
Тема: “ Вивчення коефіцієнта в’язкості рідини методами медичного віскозиметра та Стокса”.
Мета роботи :Оволодіти методами визначення коефіцієнта в’язкості рідині (методами візкозиметра та Стокса). Вивчити залежність коефіцієнта в’язкості від концентрації .
Обґрунтування необхідності вивчення теми .
Розуміння фізики в’язкості рідини відіграє важливу роль при поясненні цілого ряду процесів , що протікають у судинній системі.
Кров – органічна система , яка відображає найменші зміни, ледь помітні зсуви , що відбуваються в організмі під час відхилення від норми , тобто є чуттєвим індикатором стану організму .
В’язкість крові людини в нормі 4·10-3 - 5·10-3 (Па·с ) , при патології коливається від 1,7·10-3 - 22,9·10-3 ( Па·с ) . Венозна кров має дещо більшу в’язкість , ніж артеріальна . У процесі фізичних навантажень в’язкість крові зростає.
В’язкість цитоплазми зумовлена структурою біополімерів, що входять до її складу, а величина її коливається в межах від 2·10-3 до 50·10-3 (Па·с) і залежить від періодів клітинного циклу, зокрема в’язкість у різних частинах клітки є різною.
Швидкість осідання еритроцитів (ШОЕ) – важливий діагностичний показник, також пов’язаний із в’язкістю крові; швидкість осідання можна визначити за методом Стокса-Панченкова.
ШОЕ вказує на наявність запальних процесів в організмі людини. У нормі ШОЕ у жінок - 7-12 мм/год, у чоловіків - 3-9 мм/год.
Метод Стокса використовують у гігієні; за його допомогою визначають швидкість осідання пороху, диму та інших відходів виробництва.
Теоретичні відомості.
Основною реологічною характеристикою рідини, газів є в’язкість або внутрішнє тертя.
В’язкість характеризується силами тертя між шарами газу або рідини, що переміщуються паралельно один до одного з різними за модулем швидкостями. З боку шару, що рухається швидше, на шар, що рухається повільніше, діє прискорююча сила. Навпаки, на шар, що рухається повільно, гальмує шари, які рухаються швидше. Сили тертя, що виникають при цьому, спрямовані по дотичній до поверхні дотику шарів. Це явище можна спостерігати в досліді, під час якого шар рідини знаходиться між двома пласкопаралельними пластинами.

Рідина дотикається до обох пластин: товщина її шару ∆х. Нижня пластина закріплена. Рідина в’язка і прилипає до обох пластин, тому шар рідини, який безпосередньо межує з пластиною, не рухається щодо неї. Прикладемо до верхньої пластини горизонтальну силу F, під дією якої пластина буде рухатися зі швидкістю V. Внаслідок “прилипання” найвищий шар також рухається зі швидкістю V. Він впливає на сусідній шар, зумовлюючи і його рух, але з дещо меншою швидкістю. Кожен шар передає рух з меншою швидкістю шару, що лежить під ним, і так аж до нерухомого нижнього шару.
Вивчаючи внутрішнє тертя, Ньютон встановив, що сила тертя між шарами рідини, які рухаються з різними швидкостями, залежить від площі дотику шарів і зміни швидкості при переході від одного шару до іншого (градієнт швидкості). Градієнт швидкості визначається відношенням зміни швидкості двох шарів до найкоротшої відстані між ними.

Сила внутрішнього тертя визначається:
Fтр.= η
·S,
Де η – коефіцієнт пропорційності, який залежить від роду рідини, її температури, тиску і називається динамічною в’язкістю.
В’язкість є функцією температури. В’язкість зменшується при збільшенні температури, а при збільшенні тиску – зростає.
Користуючись формулою Ньютона, можна сформулювати фізичний зміст коефіцієнта в’язкості. Коефіцієнт в’язкості дорівнює силі в'язкості, що виникає між двома шарами ламінарно рухомої рідини при градієнті швидкості і площі стискаючих поверхонь рівними одиниці.
[η] =
= Па·с
Відношення коефіцієнта динамічної в’язкості до густини рідини або газу називається кінематичною в’язкістю υ:
ν =
;
Величина, обернена до ηназивається коефіцієнтом плинності. Для більшості рідини коефіцієнт в’язкості не залежить від градієнта швидкості. Такі рідини описують формулою Ньютона і називають ньютонівськими. До них належать: вода, водні розчини, деякі низькомолекулярні органічні рідини етиловий спирт, ацетон. Коефіцієнт в'язкості інших рідин залежить від градієнта швидкості. Такі рідини називають ненютонівськими. До них належать високомолекулярні органічні сполуки, суспензії, емульсії. Такою рідиною є кров, яка за своїми властивостями нагадує суспензію деформованих частинок.
Існує декілька методів визначення коефіцієнта в’язкості рідини. Методи вимірювання в'язкості називають візкозиметрією.
І. Визначення коефіцієнта в’язкості рідини методом медичного віскозиметра.
Прилади та матеріали: віскозиметр ВК-4 Гесса, подина з дистильованою водою, розчинами відомих та невідомою концентрацій.
Цей метод ґрунтується на тому, що дві рідини з різними коефіцієнтами в’язкості з однаковим поперечним перерізом капілярів при однаковій температурі, при однаковій різниці тиску на вільні поверхи рідини у капілярах з різною швидкістю: більш в’язка рідина тягне повільніше, ніж менш в’язка. Це ґрунтується на формулі Пуазейля: об’єм рідини, що протікає за одиницю часу по горизонтальній трубці пропорціональний градієнту тиску: четвертому ступеню радіуса трубки (R4) і обернено пропорціонально коефіцієнту в’язкості рідини, (η) та довжини (l):

Для трубок з однаковими перерізами (R1=R2) та рівними градієнтами тиску
об’єми протікаючих рідин належать обернено пропорціонально їх коефіцієнтами в’язкості:
(1)
Але об’єм рідини, що проходить по трубці за одиницю часу числено дорівнює її швидкості: Q=V (2). Тоді одержуємо:
; (3)
Порівняємо відстані, які пройшли за однаковий час досліджувальною рідиною і дистильованою водою.
Для цього виразимо, чому дорівнює об’єм рідини, що протікає за 1с.:
Q= π·R2 ·l;(4)
Тоді:
. (5)
Порівняємо формули (1) і (5), одержимо
. (6)
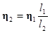
Тобто, при однакових градієнтах тиску, перерізах труб, температури, відстані, що проходять рідини, обернено пропорціональні їх коефіцієнтам в’язкості. З співвідношення (6) одержуємо робочу формулу:
;
де η1,l1 – коефіцієнти в’язкості та відстань по капіляру для дистильованої води. η2,l2 - коефіцієнти в’язкості та відстань по капіляру для досліджуваної рідини.
Для визначення коефіцієнту в’язкості крові у медичній практиці користуються медичним віскозиметром. Медичний віскозиметр складається з двох цілком однакових проградуйованих піпеток, які прикріплені до дерев’яної підставки. Піпетка проградуйована від 0 до 10. Кожний проміжок між двома поділками поділений ще на десять поділок. Кожна піпетка складається з трьох капілярів, які спаяні в одне ціле. До правої піпетки приладнаний скляний краник з притертою пробкою. В цю піпетку набирають дистильовану воду, перекриваючи краник. Це дає можливість набирати кров чи іншу досліджувану рідину в другу піпетку без впливу на положення дистильованої води в першій піпетці.
Одні кінці піпеток вільні і використовуються для набирання в піпетки дистильованої води та досліджувальної рідини. Другі кінці піпеток з’єднані через скляний трійник гумовими трубками для створення рівного в кожній піпетці тиску.
Третя трубка, що відходить від трійника, довга. На кінці її - скляний мундштук. За допомогою цього мундштука ротом відсмоктують повітря з обох піпеток. Це утворює різницю тисків повітря між різними кінцями піпеток. Щоб зміна тисків відбувалась поступово в гумовій трубці, що натягнена на кінці піпеток, встановлені короткі відрізки скляних трубок з вузьким каналом. При відсмоктуванні повітря набрані в піпетку рідини починають рухатися, але з різною швидкістю: та рідина, що має більшу в’язкість, відстає від тієї, що має меншу в’язкість і тому проходить меншу відстань за той же час.
Дата добавления: 2015-08-04; просмотров: 1093;
