Структурная и приведенная формы модели.
Система совместных, одновременных уравнений (или структурная форма модели) обычно содержит эндогенные и экзогенные переменные.
Эндогенные переменныеобозначены в приведенной ранее системе одновременных уравнений как у. Это зависимые переменные, число которых равно числу уравнений в системе.
Экзогенные переменныеобозначаются обычно как х. Это предопределенные переменные, влияющие на эндогенные переменные, но не зависящие от них.
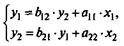
Простейшая структурная форма модели имеет вид:

где у - эндогенные переменные;
x — экзогенные переменные.
Структурная форма модели в правой части содержит при эндогенных и экзогенных переменных коэффициенты bi и аj (bi -коэффициент при эндогенной переменной, аj — коэффициент при экзогенной переменной), которые называются структурными коэффициентами модели.Все переменные в модели выражены в отклонениях от среднего уровня, т. е. под xподразумевается x—
а под у — соответственно у -
. Поэтому свободный член в каждом уравнении системы отсутствует.
Использование МНК для оценивания структурных коэффициентов модели дает, как принято считать в теории, смещенные и несостоятельные оценки. Поэтому обычно для определения структурных коэффициентов модели структурная форма модели преобразуется в приведенную форму модели.
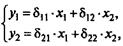
Приведенная форма модели (ПФМ)представляет собой систему линейных функций эндогенных переменных от экзогенных.
Коэффициенты приведенной формы модели представляют собой нелинейные функции коэффициентов структурной формы модели.
Для структурной модели вида

приведенная форма модели имеет вид
Дата добавления: 2015-08-01; просмотров: 1044;
