Визначення відновної вартості (вартості заміщення) будівель і споруд
Відновна вартість(витрати відтворення) виражається в грошовій сумі, необхідній для точного відтворення оцінюваної будівлі в поточних цінах.
Вартість заміщення(витрати заміщення) є вартістю створення структури та інших поліпшень, які мають еквівалентну функціональну придатність, з використанням поточних стандартів, матеріалів і дизайну, засновану на поточних цінах робочої сили і матеріалів.
Для розрахунку відновної вартості і вартості заміщення витрати можна розділити на прямі і непрямі.
Прямі витрати передбачають вартість робочої сили, матеріалів і прибуток будівельних підрядників і субпідрядників. До них не входить прибуток забудовника (який може і не бути підрядником).
Приклади прямих витрат: робоча сила; матеріали; устаткування; прибуток підрядника і накладні витрати; безпека під час виробництва; тимчасові споруди; тимчасові огорожі; комунальні послуги під час будівництва; зберігання матеріалів; гарантія підрядника на виконання контракту.
Непрямі витрати – всі інші види витрат під час спорудження будівлі, які не належать до прямих витрат.
Приклади непрямих витрат:
- професійні послуги (оплата архітектора, інженерів, геодезистів, юристів і їхніх послуг, оцінювача);
- накладні витрати забудовника;
- дозвіл на будівництво і ліцензії;
- страхові премії, відсотки, податки;
- витрати з продажу (комісійні, реклама тощо);
- поточні витрати (від часу завершення будівництва до продажу або здавання в оренду).
Відомі такі способи розрахунку відновної вартості або вартості заміщення будівлі:
- метод квадратних метрів;
- поелементний метод;
- кількісний метод, за якого складаються всі витрати (прямі та непрямі).
Вартість відтворення будівельних об’єктів WВ можна обчислити за формулою:
, (8.22)
де Vi – значення оцінюваної одиниці (м3, м2, м);
Сі – ціна одиниці оцінюваного і- го елементу;
Wкв – затрати на виготовлення проектної документації та авторський нагляд.
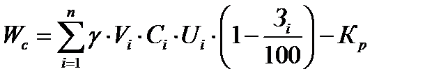
Сумарну вартість об’єкта Wc на момент оцінки обчислюють за формулою:
, (8.23)
де n – кількість видів будівельних матеріалів;
γ – кількість даного матеріалу в і-тому об’єкті;
Сі – ціна одиниці оцінюваного елементу (матеріалу);
Uі – коефіцієнт, що виражає у відсотках кількість даного матеріалу;
Зі – ступінь фізичного зносу будівлі;
Кр – коефіцієнт ліквідності робіт.
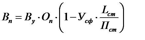
Визначення відновної вартості прибудови Вп виконують за формулою:
, (8.24)
де Ву – відновна (відбудовча) вартість одиниці вимірювання даного типу будівлі (прибудови);
Оп – об’єм прибудови;
Усф – питома вага стін і фундаменту;
Lст – довжина стіни (ділянки стіни) основної будівлі, до якої примикає прибудова;
Пст – повний периметр стін прибудови (включаючи стіну основної будівлі).
Дата добавления: 2015-08-26; просмотров: 2560;
