Пример расчета. Для стальной балки, изображенной на рис
Для стальной балки, изображенной на рис. 7.3, определить методом начальных параметров углы поворота сечения и прогиб в точке D. Модуль упругости Е = 2×108 кН/м2. Поперечное сечение балки - квадратное со стороной a = 0,2 м.

Рис. 7.3
Решение
1. Определение опорных реакций балки (рис. 7.3).
SM0 =0, RB (b + c + e) - q×(c + e)×[b + 0,5×(c + e)] + M + P b = 0,
кН;
SMB =0, R0 (b + c + e) - 0,5×q×(c + e)2 - M + P×(c + e) = 0,
кН.
Для проверки правильности определения опорных реакций составим уравнение равновесия сил по оси z:
Sz =0; R0 + RB + F - q (c + e) = 7,86 + 14,14 + 8 - 10×3 = 30 - 30 = 0.
Реакции найдены верно.
2. Применение метода начальных параметров.
Используя метод начальных параметров, для рассматриваемой балки запишем:


Из условий закрепления балки при x = 0 имеем: z0 = 0; М0=0.
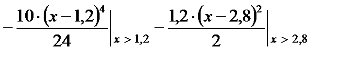
Подставляя числовые значения, получим:
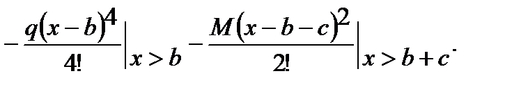
.
В данном выражении неизвестно j0. Из условия закрепления балки при x = b + c + e имеем, что z = 0. Вычисляя прогиб на правом конце балки и приравнивая его к нулю, получим уравнение для определения j0:
.
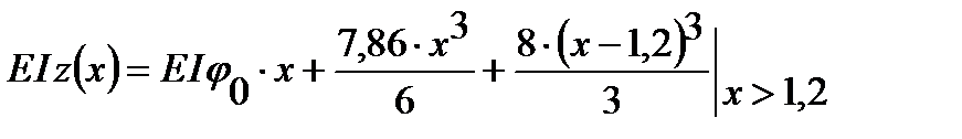
Отсюда E I j0 = -20,84 кН×м2. Теперь выражение для определения прогибов будет иметь вид:
.
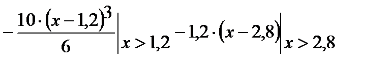
Соответственно выражение для определения углов поворота будет:
.
С помощью этих выражений определяем zD и jD:
кH×м3.
кН×м2.
Вычисляем жесткость сечения (Е = 2×108 кН/м2):
кН×м2.
Тогда окончательно
м.
рад.
Перемещение точки D происходит вниз, а сечение поворачивается по часовой стрелке.
Вопросы для самопроверки
1. Какие перемещения получают поперечные сечения балок при прямом изгибе?
2. Запишите основное дифференциальное уравнение изогнутой оси балки.
3. Что называется жесткостью сечения при изгибе?
4. Как из основного (приближенного) дифференциального уравнения изогнутой оси балки получаются выражения углов поворота и прогибов ее сечений?
5. Из каких условий определяются постоянные интегрирования, входящие в уравнение углов поворота и прогибов сечений балки?
6. Запишите универсальное уравнение метода начальных параметров.
7. Перечислите основные параметры для использования метода начальных параметров.
8. Что надо сделать, если распределенная нагрузка не доходит до правого конца балки?
Дата добавления: 2015-08-21; просмотров: 879;
