При внецентренном растяжении (сжатии)
| z |
| y |
| F |
| zF |
| F |
| a |
| b |
| н.л |
| s |
| Рис. 8.4 |
| 2 |
| 1 |
| yF |
, (8.4)
где
;
;
yF, zF – координаты точки приложения силы F.
Для определения опасных точек сечения необходимо найти положение нейтральной линии (н.л.) как геометрического места точек, в которых напряжения равны нулю.
.
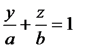
Уравнение н.л. может быть записано как уравнение прямой в отрезках:
,
где
и
– отрезки, отсекаемые н.л. на осях координат,
,
– главные радиусы инерции сечения.
Нейтральная линия разделяет поперечное сечение на зоны с растягивающими и сжимающими напряжениями. Эпюра нормальных напряжений представлена на рис. 8.4.
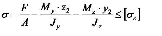
Если сечение симметрично относительно главных осей, то условие прочности записывается для пластичных материалов, у которых [sc] = [sp] = [s], в виде
. (8.5)
Для хрупких материалов, у которых [sc]¹[sp], условие прочности следует записывать отдельно для опасной точки сечения в растянутой зоне:

и для опасной точки сечения в сжатой зоне:
,
где z1, y1 и z2, y2 – координаты наиболее удаленных от нейтральной линии точек сечения в растянутой 1 и сжатой 2зонах сечения (рис. 8.4).
Дата добавления: 2015-08-21; просмотров: 1279;
