Кручение с изгибом
Вид нагружения, при котором брус подвергается одновременно действию скручивающих и изгибающих моментов, называется изгибом с кручением.
При расчете воспользуемся принципом независимости действия сил. Определим напряжения по отдельности при изгибе и кручении (рис. 8.8).
При изгибе в поперечном сечении возникают нормальные напряжения, достигающие максимального значения в крайних волокнах
.
При кручении в поперечном сечении возникают касательные напряжения, достигающие наибольшего значения в точках сечения у поверхности вала
.
| s |
| t |
| C |
| B |
| x |
| y |
| z |
| Рис. 8.9 |
| s |
| s |
| t |
| t |
| Рис. 8.10 |
| C |
| x |
| z |
| y |
| M |
| T |
| Рис. 8.8 |
Нормальные и касательные напряжения одновременно достигают наибольшего значения в точках С и В сечения вала (рис. 8.9). Рассмотрим напряженное состояние в точке С (рис. 8.10). Видно, что элементарный параллелепипед, выделенный вокруг точки С, находится при плоском напряженном состоянии.
Поэтому для проверки прочности применим одну из гипотез прочности.
Условие прочности по третьей гипотезе прочности (гипотезе наибольших касательных напряжений)
.
Учитывая, что
,
, получим условие прочности вала
. (8.6)
Если изгиб вала происходит в двух плоскостях, то условие прочности будет
.
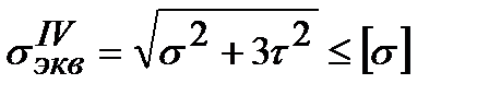
Используя четвертую (энергетическую) гипотезу прочности
,
после подстановки s и t получим
. (8.7)
Вопросы для самопроверки
1. Какой изгиб называется косым?
2. Сочетанием каких видов изгиба является косой изгиб?
3. По каким формулам определяются нормальные напряжения в поперечных сечениях балки при косом изгибе?
4. Как находится положение нейтральной оси при косом изгибе?
5. Как определяются опасные точки в сечении при косом изгибе?
6. Как определяются перемещения точек оси балки при косом изгибе?
7. Какой вид сложного сопротивления называется внецентренным растяжением (или сжатием)?
8. По каким формулам определяются нормальные напряжения в поперечных сечениях стержня при внецентренном растяжении и сжатии? Какой вид имеет эпюра этих напряжений?
9. Как определяется положение нейтральной оси при внецентренном растяжении и сжатии? Запишите соответствующие формулы.
10. Какие напряжения возникают в поперечном сечении бруса при изгибе с кручением?
11. Как находятся опасные сечения бруса круглого сечения при изгибе с кручением?
12. Какие точки круглого поперечного сечения являются опасными при изгибе с кручением?
13. Какое напряженное состояние возникает в этих точках?
Дата добавления: 2015-08-21; просмотров: 4290;
