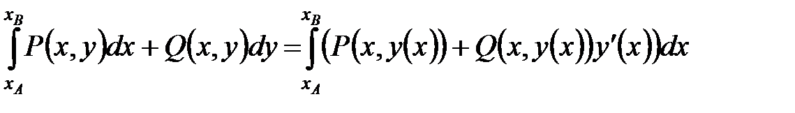
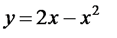
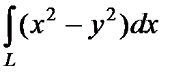
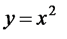
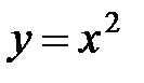
Примеры решения задач. 1. Вычислить криволинейный интеграл второго рода , где L − дуга параболы от точки А (0; 0) до точки В (2; 4).
1. Вычислить криволинейный интеграл второго рода
, где L − дуга параболы
от точки А (0; 0) до точки В (2; 4).
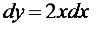
► Применим формулу
(5.4)
для кривой, заданной уравнением
с начальной точкой кривой
, конечной точкой
.
, тогда
.◄
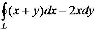
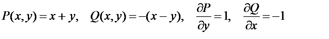
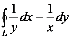
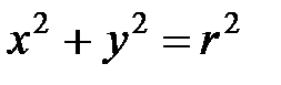
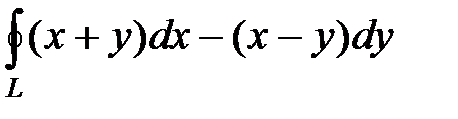
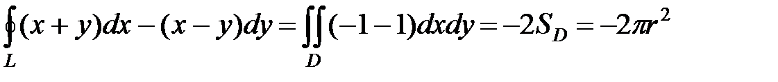
2. Вычислить криволинейный интеграл по формуле Грина
, где L − окружность
.
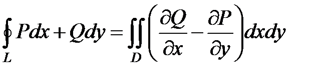
► Формула Грина
, (5.5)
где
.
Тогда
.◄
Задания для самостоятельной работы
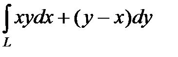
6.2. Вычислить криволинейные интегралы второго рода:
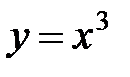
1)
, где L − дуга параболы
от точки О (0; 0) до точки А (2; 4);
2)
, где L:
от точки О (0; 0) до точки А (1; 1);
3)
, где L − дуга параболы
от точки А (1; 1) до точки В (3; -3);
4)
, где L − отрезок прямой от точки О (0; 0) до точки
А (
;
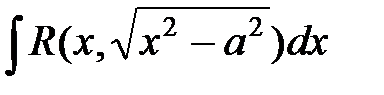
).
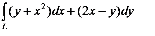
6.3. Вычислить криволинейные интегралы второго рода по замкнутым положительно ориентированным контурам L по формуле Грина:
1)
, где L − контур треугольника со сторонами
;
2)
, где L − контур треугольника с вершинами А (1; 1), В (2; 1) и С (2; 2);
3)
, где L − окружность
.
Приложение
I. Неопределенный интеграл
Основная таблица интегралов
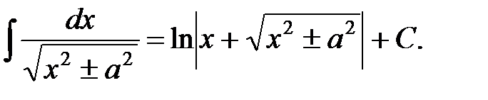
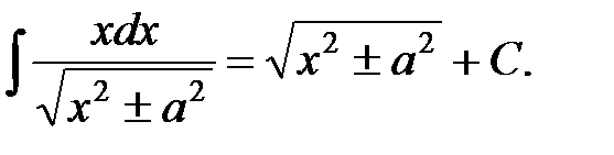
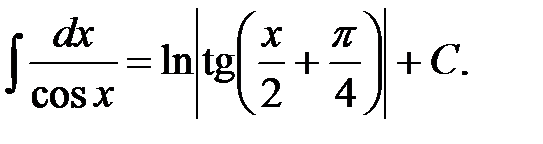
1. 
2. 
3. 
4. 
5. 
6. 
7. 
8. 
9. 
10. 
11. 
12. 
13. 
14. 
15. 
16. 
17. 
18. 
19. 
Замена переменной
20. 
Интегрирование по частям
21. 
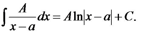
Интегрирование простейших дробей
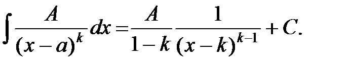
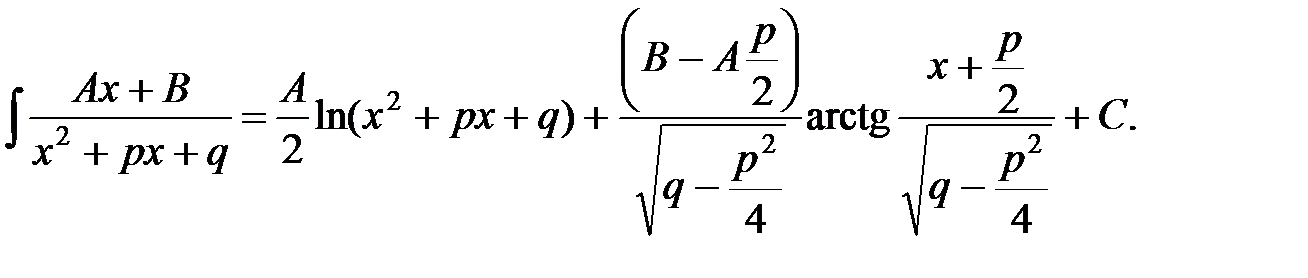
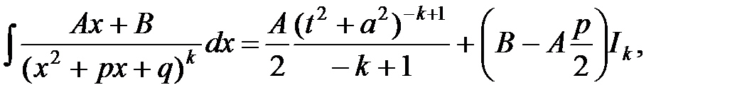
22. 
23. 
24. 
25.
где


При 
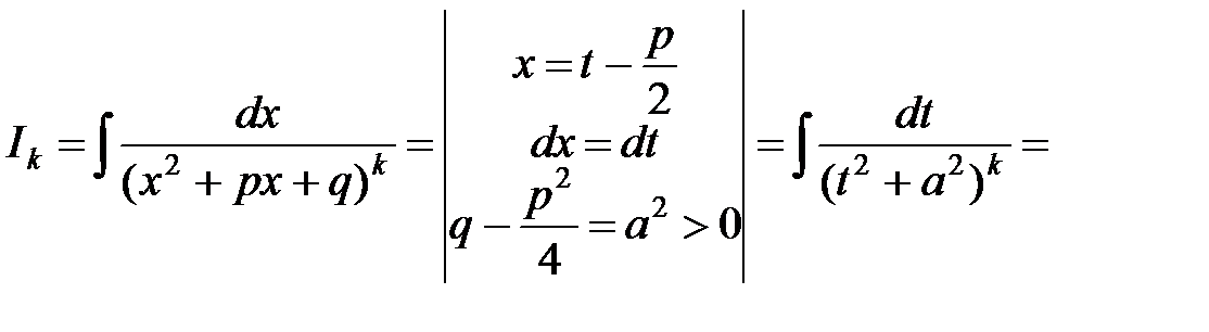
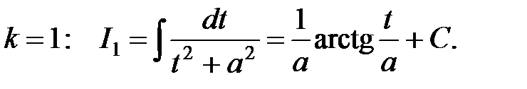
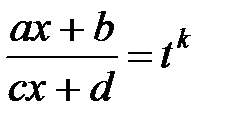
Интегрирование иррациональных функций
| Интеграл | Подстановка |
25.
|
где k − общий знаменатель
дробей , .
|
26.
| ,
где k − общий знаменатель
дробей , .
|
Подстановки Эйлера
27.
| ;
;
|
Интегрирование тригонометрических функций
28.
|
|
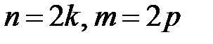
29.
n, m − четные, хотя бы одно из
них отрицательное
|
|
30.
|
|
31.
|
|
32.
|
|
33.
|
|
Тригонометрические подстановки
34.
| или
|
35.
| или
|
36.
| или
|
II. Определенный интеграл
Формула Ньютона-Лейбница
37.
.
Замена переменной
38.
.
Интегрирование по частям
39.
.
Дата добавления: 2016-04-14; просмотров: 18123;

где k − общий знаменатель
дробей
,
.
,
где k − общий знаменатель
дробей
,
;
;
n, m − четные, хотя бы одно из
них отрицательное
или
или
или