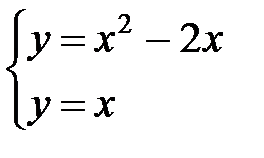
Примеры решения задач. 1. Вычислить площадь фигуры D, ограниченной параболой
1. Вычислить площадь фигуры D, ограниченной параболой 
и прямой
.
► Построим фигуру D:
| у |
| х |
|
|
| D |
| Рис. 11 |
Решив систему уравнений
, получим
соответственно. Следовательно, линии, ограничивающие область D, пересекаются в точках
и М(3;3).
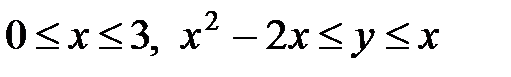
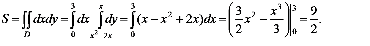
Область D задается системой неравенств:
D:
.
Тогда
◄
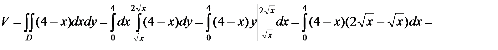
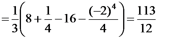
2. Найти объем тела Т, ограниченного цилиндрами
,
и плоскостями
.
► Данное тело Т ограничено сверху плоскостью
, снизу плоскостью
, по бокам прямыми цилиндрами
и
.
Изобразим тело Т и область интегрирования
:
| z |
| y |
| x |
| T |
| A |
| Рис. 12 |
| у |
| х |
|
| D |
| Рис. 13 |
Переменная x изменяется от 0 до 4, т.е.
; при любом значении из этого промежутка
. Кроме того,
.
Итак,

.◄
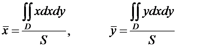
3. Найти координаты центра масс однородной пластинки, ограниченной линиями
; плотность
.
► Координаты центра масс
и
плоской фигуры D с плотностью
вычисляются по формулам:
, (5.4)
| у |
| х |
|
|
| D |
| Рис. 14 |
и
ее статические моменты относительно осей координат
и
соответственно. В случае однородной пластинки эти формулы принимают вид
,
где S − площадь области D.
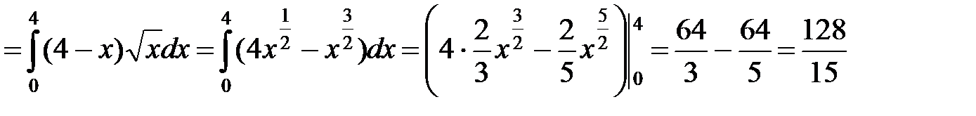
Найдем площадь S пластинки.

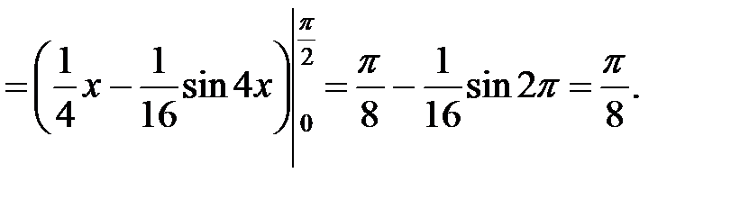
.
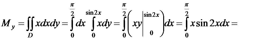
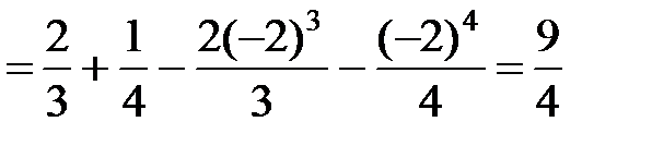
Вычислим статические моменты:




.◄
Таким образом, центр масс имеет координаты:
◄
4. Найти моменты инерции однородной фигуры (плотность
=const), ограниченной линиями
, относительно осей
и
и начала координат.
► Данная фигура D изображена на рисунке и представляет собой треугольник с вершинами А (1; -1), В (1; 2) и С (-2; 2).
| А |
| х |
| у |
| . |
| С |
| . |
| . |
| D |
| В |
| у=2 |
| х=1 |
| у=-х |
| Рис.15 |
Моменты инерции
и
плоской фигуры с плотностью
относительно осей
и
вычисляются по формулам:
(4.5)
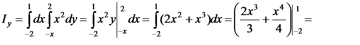
;

.
Момент инерции относительно начала координат вычисляем по формуле:
, (4.6)
следовательно,
.◄
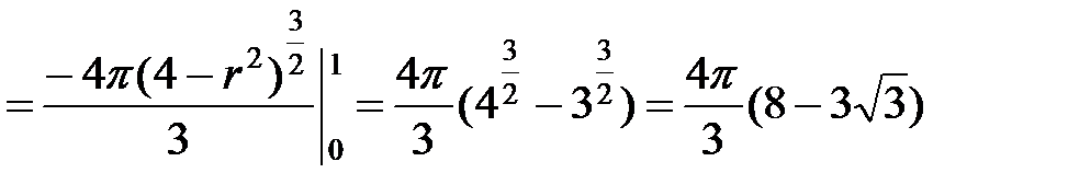
5. Найти объем тела, расположенного внутри цилиндра
и ограниченного сферой
.
► Объем тела выражается тройным интегралом вида
. (4.7)
В данном случае вычисления выполним в цилиндрических координатах. Уравнения поверхностей, ограничивающих тело, в цилиндрических координатах имеют следующий вид:
− уравнение сферы,
− уравнение цилиндра.
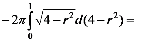
Таким образом, объем тела будет выражаться трехкратным интегралом

=
.◄
Дата добавления: 2016-04-14; просмотров: 1325;
