Примеры решения задач. 1. Вычислить интегралы от иррациональных функций:
1. Вычислить интегралы от иррациональных функций:
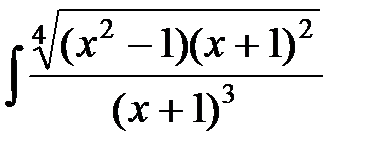
а)
; б)
;
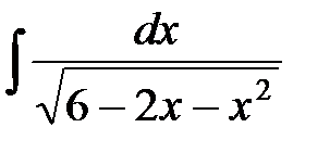
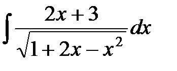
в)
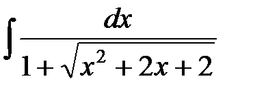
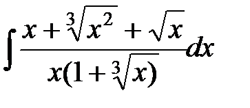
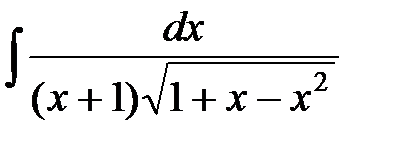
; г)
.
►а) Подстановкой
приведем интеграл к рациональному виду. Тогда 
.
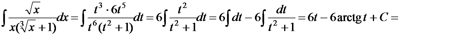
б) Заметим, что
.
Применим подстановку
, откуда
;
.
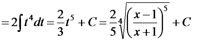
Итак,
=
.
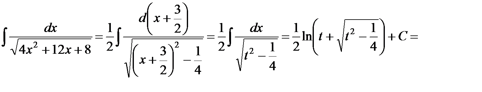
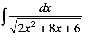
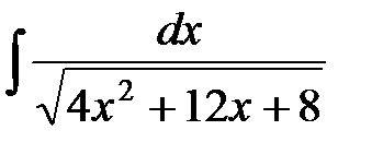
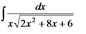
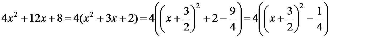
в) Выделяя полный квадрат в квадратном трехчлене под знаком корня, получаем:
.
Тогда, используя табличный интеграл 14, находим

.
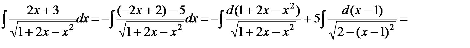
г) Разобьем данный интеграл на сумму двух интегралов (в первом в числителе образуем производную от подкоренного выражения, а во втором выделим полный квадрат в подкоренном выражении):

.◄
Задания для самостоятельной работы
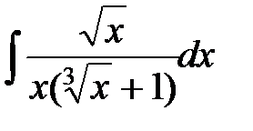
1.6. Найти интегралы от иррациональных функций:
1)
; 2)
;
3)
; 4)
;
5)
; 6)
;
7)
; 8)
;
9)
; 10)
;
11)
; 12)
.
Тема 2. Определенный интеграл.
Формула Ньютона-Лейбница.
Вычисление определенных интегралов
Примеры решения задач
.
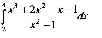
1. Вычислить определенные интегралы, используя их свойства и формулу Ньютона-Лейбница:
а)
; б)
; в)
.
►Так как все подынтегральные функции непрерывны на соответствующих отрезках, то получаем:
а)
;
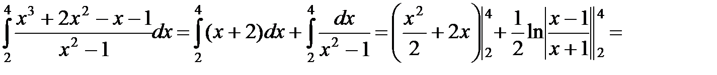
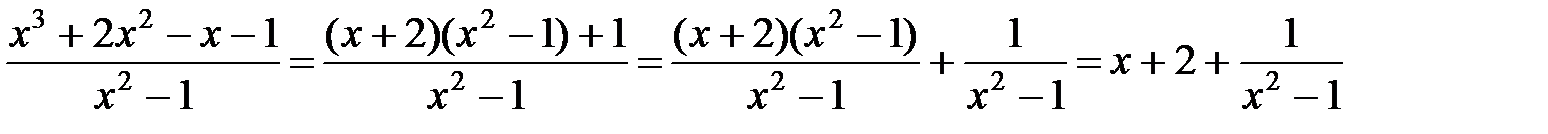
б) Под знаком интеграла неправильная дробь. Выделим целую часть, используя разложение
.
Имеем:
,
и данный интеграл

;
в)
.◄
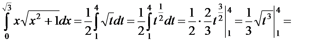
2. Методом замены переменной вычислить определенные интегралы:
а)
; б)
; в)
.
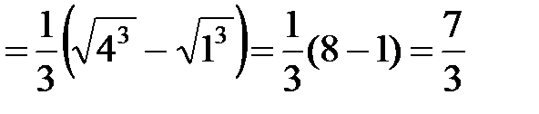
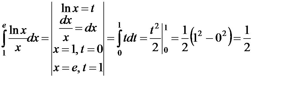
а) Введем новую переменную
. Тогда
и новые пределы интегрирования
при
и
при
.

;
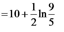
б)
;
в) 
.◄
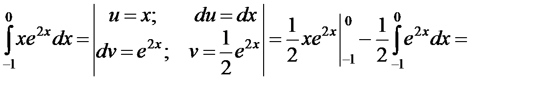
3. Используя формулу интегрирования по частям (1.4), вычислить следующие интегралы:
а)
; б)
.
►а) 
.
б) 

=
.◄
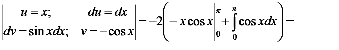
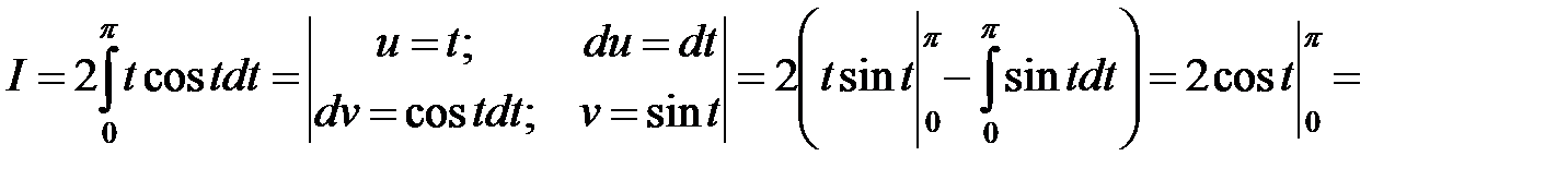
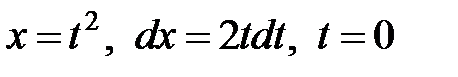
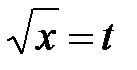
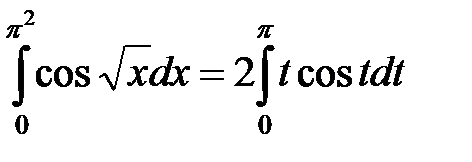
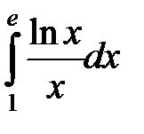
4. Вычислить интеграл
.
►Используем подстановку
. Тогда
при
,
при
и
.
К последнему интегралу применим интегрирование по частям:

◄
Дата добавления: 2016-04-14; просмотров: 1306;
