Примеры решения задач. Неопределенный интеграл
Неопределенный интеграл
Непосредственное интегрирование.
Замена переменной. Интегрирование по частям.
Примеры решения задач
1. Вычислить интегралы:
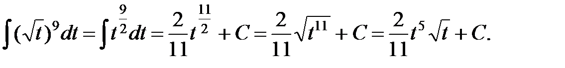
а)
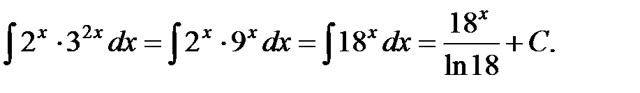
; б)
; в)
;
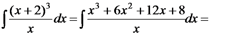
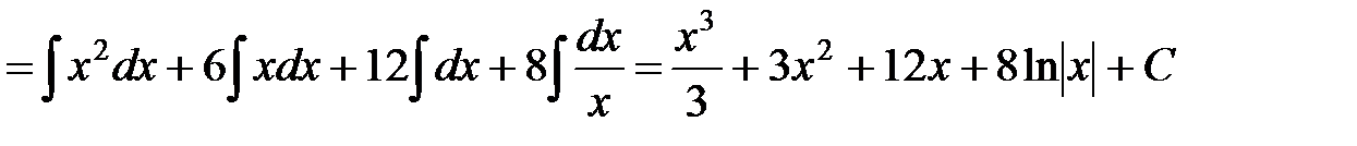
г)
; д)
; е)
;
ж)
; з)
.
►а) Применив табличный интеграл 1 (см. приложение), получим:

б) По табличному интегралу 3, при
имеем:

в) В данном случае переменной интегрирования является
, а переменную
считаем постоянной, причем
. Тогда, по свойствам неопределенного интеграла и табличному интегралу 3 имеем:

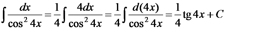
г) Аналогично предыдущему находим:
.
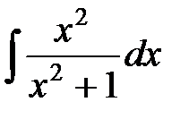
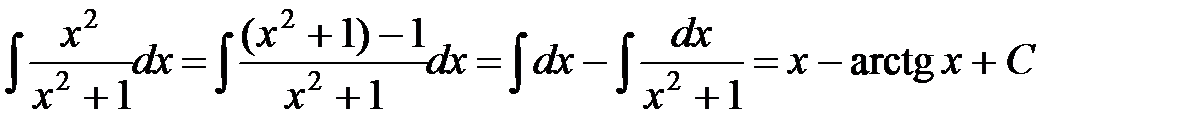
д) В числителе дроби прибавим и отнимем 1, затем почленно поделим числитель на знаменатель и применим табличные интегралы 1 и 11:
.
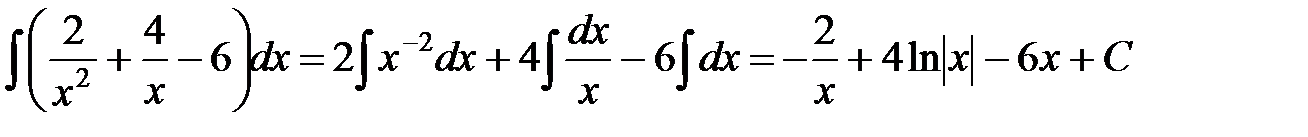
е) 
.
ж) Подынтегральное выражение запишем в виде:
.
Согласно табличным интегралам 8 и 7 имеем:
.◄
2. Вычислить интегралы методом подстановки:
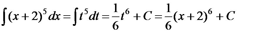
а)
; б)
; в)
;
г)
; д)
; е)
;
ж)
; з)
; и)
.
►а) Пусть
, тогда
. Подставим эти значения в подынтегральное выражение:
.
Данный интеграл можно вычислить следующим способом:
.
б) Аналогично предыдущему примеру имеем:
.
в) Пусть
, тогда
, и
.
г)
.
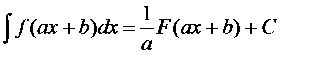
Рассмотренные выше интегралы легко вычислить по общей формуле
, (1.1)
где
− первообразная функции
.
д) Данный интеграл приводится к табличному, если положить
. Тогда
и
.
Приведем еще одну общую формулу:
(1.2)
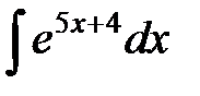
е) Так как
, то, умножив и поделив интеграл на 2 и внеся множитель 2 под знак интеграла, а затем под знак дифференциала, получим:

ж) Пусть
, поскольку
. Имеем
.
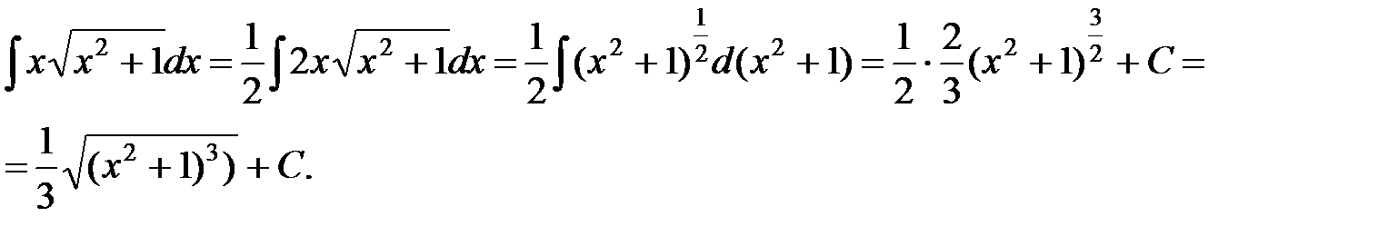
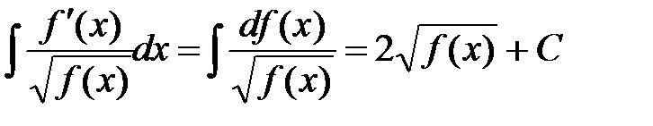
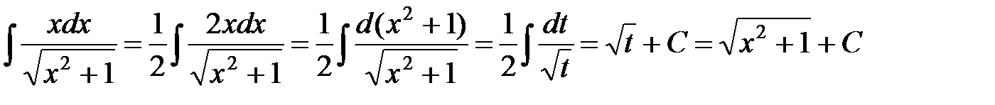
з) Если числитель подынтегрального выражения умножить на 2, то он будет равен производной подкоренного выражения. Тогда
.
Полезно запомнить общую формулу, которая фактически применялась при вычислении данного интеграла, а именно
(1.3)
и) Пусть
. Тогда
и

=
.◄
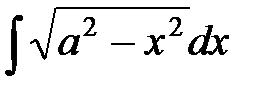
3. Вычислить интегралы методом интегрирования по частям:
а)
; б)
; в)
;
г)
; д)
.
► Для применения метода интегрирования по частям необходимо подынтегральное выражение представить в виде произведения двух множителей
и
, причем через
обозначить функцию, которая упрощается при дифференцировании (например,
), а через
− выражение, из которого непосредственным интегрированием несложно определить
(например,
).
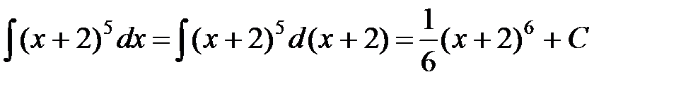
а) Пусть
,
, тогда
.
Подставляя эти значения в формулу интегрирования по частям
(1.4)
получим:
.
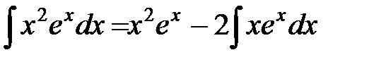
б) Пусть
тогда
. Тогда
.
К последнему интегралу снова применим метод интегрирования по частям, полагая
, откуда
. Итак, имеем
.
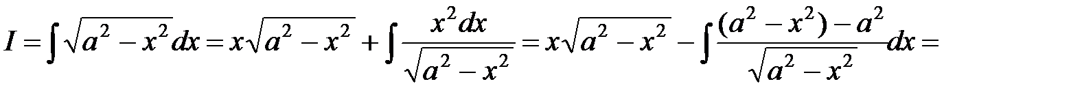
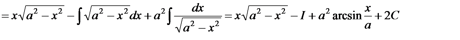
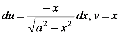
в) Пусть
, тогда
. Имеем:
. (1.5)
Применим формулу интегрирования по частям к интегралу
, полагая
, откуда
. Тогда
.
Подставляя этот результат в (1.5), получаем уравнение с неизвестным интегралом
, т.е.
, отсюда
,
.
г) Пусть
. Тогда
и

.
Аналогично предыдущему примеру
,
.
д) Пусть
. Тогда 
.◄
Дата добавления: 2016-04-14; просмотров: 999;
