Примеры решения задач. 1. Вычислить интегралы от рациональных функций:
1. Вычислить интегралы от рациональных функций:
а)
; б)
; в)
;
г)
; д)
; е)
.
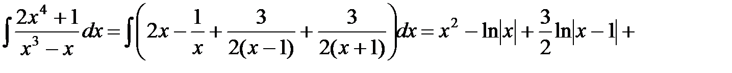
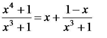
►а) Выделим целую часть подынтегральной дроби:
+1
|
| |
|
| |
|
Тогда
.
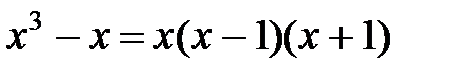
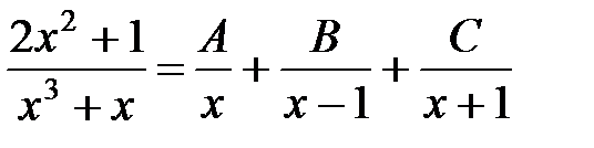
Разложим знаменатель на множители:

Представим дробь
в виде суммы элементарных дробей:
.
Правую часть последнего равенства приведем к общему знаменателю и приравняем числители:
.
Поскольку числа 0, 1,
являются корнями знаменателя, то коэффициенты А, В и С удобно вычислить, подставляя именно эти значения
в последнее равенство.
При
, т.е.
;
при
, т.е.
;
при
, т.е.
.
Вычислим данный интеграл, учитывая значения найденных коэффициентов и предыдущее разложение:

.
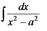
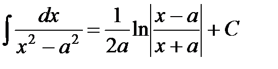
б) Имеем
.
Аналогично предыдущему примеру получаем табличный интеграл 13:
.
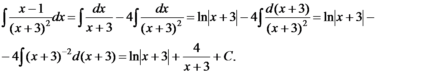
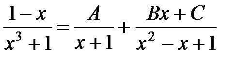
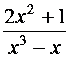
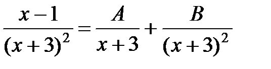
в) Дробь правильная. Знаменатель имеет двукратный корень – 3. Тогда дробь представима в виде
.
Приведем к общему знаменателю это равенство и приравняем числители:
. При
имеем
, при
получаем
, откуда
,
. Подставляя значения А и В в предыдущее разложение, находим:

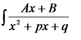
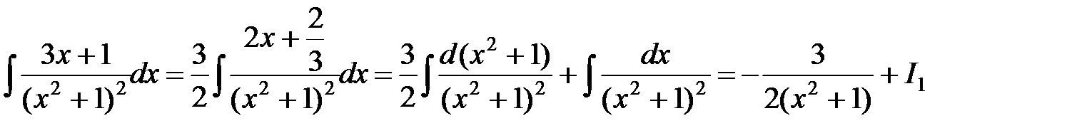
г) Имеем интеграл вида
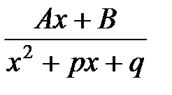
.
Выделяя в числителе производную знаменателя и представляя интеграл в виде суммы двух интегралов, к которым последовательно применяем формулу (1.2) и табличный интеграл (12), будем иметь:

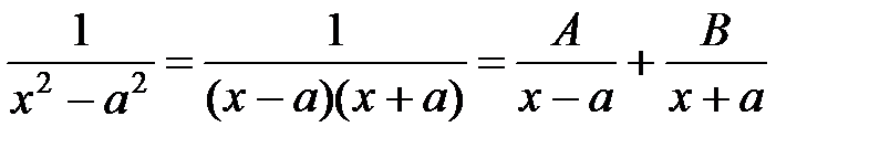
Указанным методом можно вычислить интегралы вида
и в случае, если знаменатель имеет действительные корни
. Тогда вместо формулы 12 таблицы интегралов используют формулу (13).
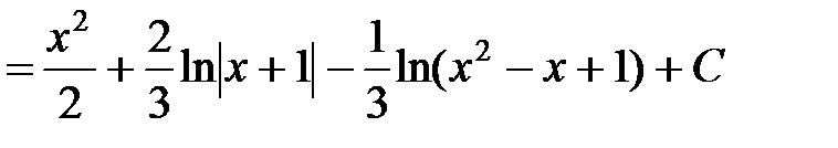
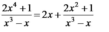
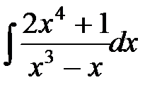
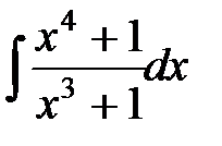
д) Знаменатель дроби имеет один действительный корень
и два мнимых, т.к.
.
Выделив целую часть
, разложим последнюю дробь на элементарные:
.
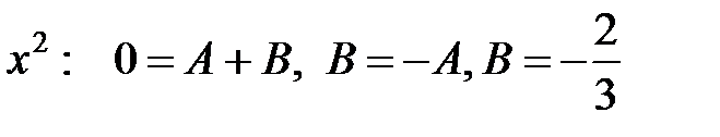
Коэффициенты А, В и С определяем из равенства
комбинированным способом. При
имеем
. Для вычисления В и С приравняем коэффициенты при одинаковых степенях:
;
.
Тогда

.
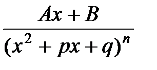
е) Подынтегральная функция – элементарная дробь вида
.
Имеем
.
Последний интеграл вычисляем по формуле 25 (см. приложение) при 
.
Тогда
.◄
Дата добавления: 2016-04-14; просмотров: 948;

+1