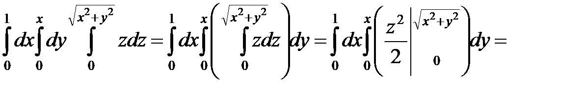
Примеры решения задач. 1. Вычислить трехкратный интеграл .
1. Вычислить трехкратный интеграл
.
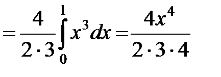
► 

.◄
2. Вычислить
, если область Т ограничена плоскостями
.
| z |
| x |
| y |
| T |
| Рис. 8 |
| Рис. 9 |
| x |
| y |
| D |
► Область Т ограничена сверху плоскостью
, снизу − плоскостью
, с боковых сторон − плоскостями
. Изобразим эту область и ее проекцию D на плоскость
:
При вычислении тройной интеграл приводится к двойному интегралу по проекции D области Т на плоскость
и однократному интегралу по переменной z, а затем последовательно вычисляется трехкратный интеграл.



.◄
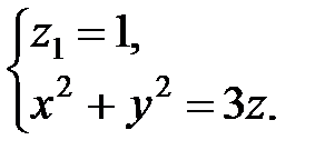
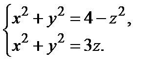
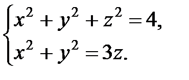
3. Вычислить тройной интеграл
, где Т − область, ограниченная сферой
и параболоидом вращения
.
| y |
| x |
|
|
| D |
определяет сферу с центром в начале координат и радиусом R=2, поверхность
− параболоид вращения вокруг оси
. Построим проекциюD области Т на плоскость
:
| Рис. 10 |


Отсюда получаем область D − круг радиуса
, центр которого совпадает с началом координат, т.е. D:
.
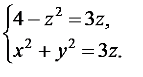
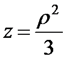
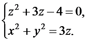
Перейдем в тройном интеграле к цилиндрическим координатам. В цилиндрических координатах уравнение сферы:
или
; уравнение параболоида вращения:
или
; уравнение окружности
.
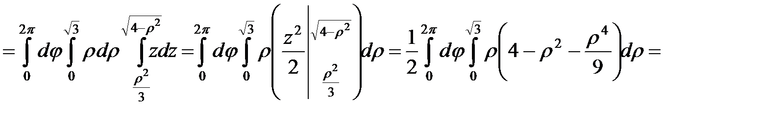
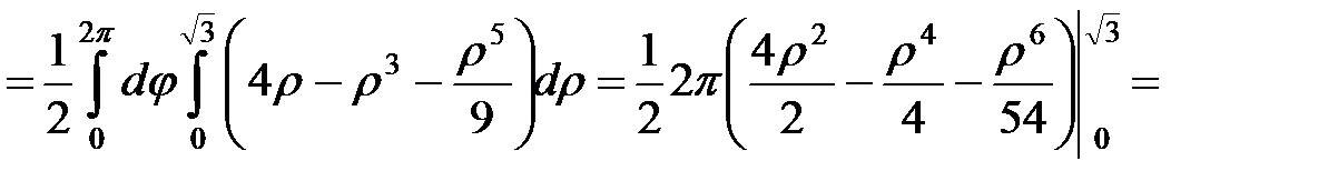
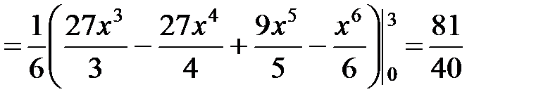
Итак,
:
,
.
По формуле тройного интеграла в цилиндрических координатах
(5.3)
имеем:



.◄
Дата добавления: 2016-04-14; просмотров: 1316;
