Примеры решения задач. 1. Исследовать на сходимость интеграл:
1. Исследовать на сходимость интеграл:
.
►Рассмотрим случаи
и
.
а)
;
− интеграл расходится;
б)
.
Далее рассмотрим случаи
и
.
− интеграл расходится;
− интеграл сходится.
Итак, несобственный интеграл
◄
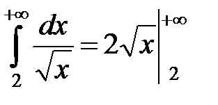
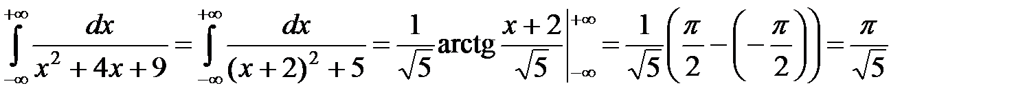
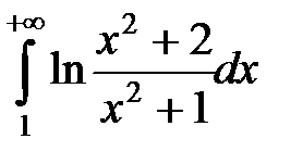
2. Вычислить несобственные интегралы:
а)
; б)
.
►а) Используем формулу Ньютона-Лейбница (см. приложение):
.
б) По формуле Ньютона-Лейбница имеем:
.◄
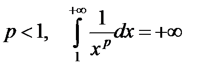
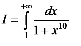
3. Исследовать на сходимость интегралы:
а)
; б)
; в)
.
►а) Подынтегральная функция
в промежутке интегрирования меньше, чем функция
, т.е.
и интеграл
, т.е. сходящийся.
Тогда и интеграл
по признаку сравнения также сходящийся, причем
.
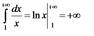
б) Для сравнения с подынтегральной функцией

возьмем функцию
.
Имеем
,
а интеграл
расходится, тогда и данный интеграл также расходится.
в) Подынтегральную функцию

сравним с функцией
, т.е. рассмотрим
.
Согласно предельному признаку сравнения получаем, что, так как интеграл
сходится, то данный интеграл также сходится.◄
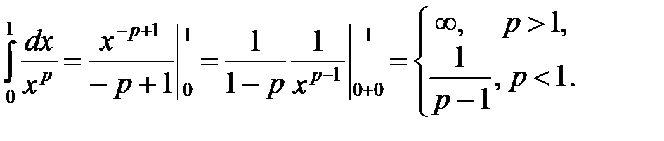
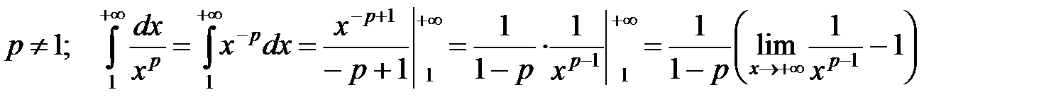
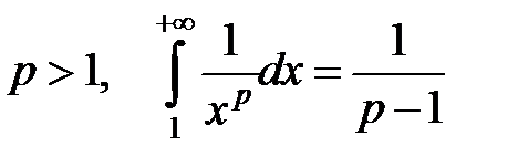
4. Исследовать на сходимость интеграл
.
►Если
, то интеграл не является несобственным.
Если
, то имеем несобственный интеграл второго рода; точка
− особая точка подынтегральной функции на промежутке интегрирования.
При
имеем
− интеграл расходится.
При
имеем

Итак,
◄
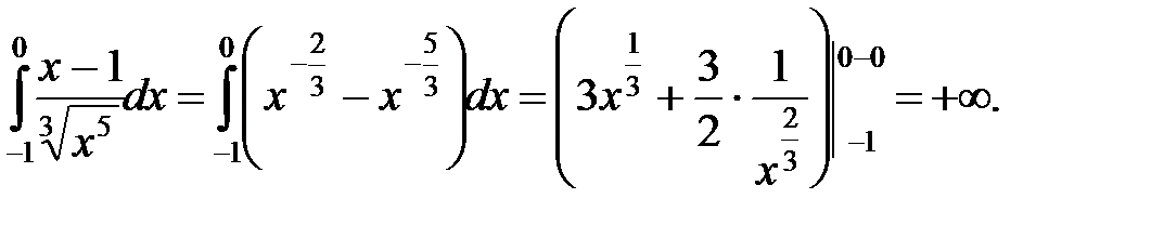
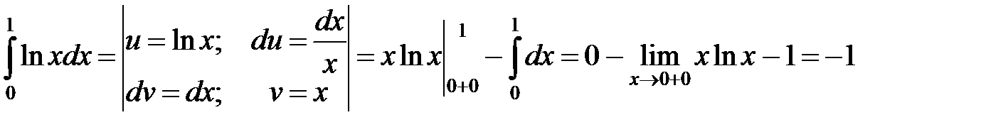
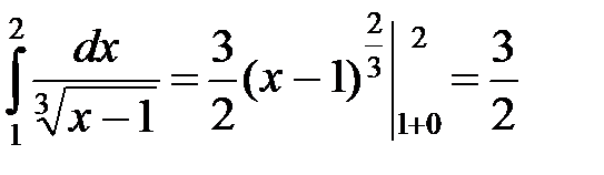
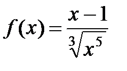
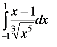
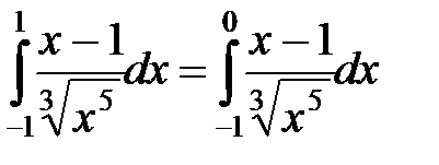
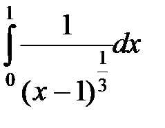
5. Вычислить интегралы:
а)
; б)
.
►а) Точка
− особая точка подынтегральной функции на промежутке
.
.
б) Точка
− особая точка подынтегральной функции на промежутке
.
.
Здесь
.◄
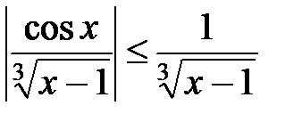
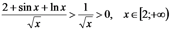
6. Исследовать на сходимость интегралы:
а)
; б)
; в)
.
►а) На данном промежутке интегрирования точка
− особая, функция
в этой точке неограниченна. Имеем несобственный интеграл второго рода:
.
Рассмотрим первый интеграл:

Этот интеграл расходящийся. Следовательно, и данный интеграл расходящийся.
б) Особая точка
. Подставим подынтегральную функцию в виде:
.
Сравним данный интеграл с интегралом вида
, который является сходящимся, т.к.
(см. пример 4).
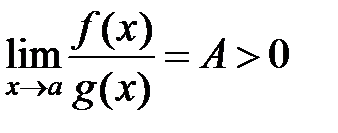
Сформулируем предельный признак сравнения.
Пусть
− особая точка функций
и
на
и
,
на
. Тогда, если существует конечный предел
,
то оба интеграла
и
сходятся или расходятся одновременно.
Согласно данному признаку , исходный интеграл также сходящийся, т.к.:
.
в) Особая точка
. Данный интеграл абсолютно сходящийся, т.к.:
и интеграл
сходится.◄
Дата добавления: 2016-04-14; просмотров: 3651;
