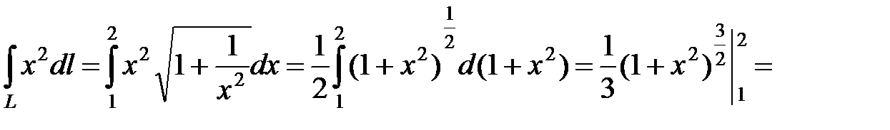
Примеры решения задач. 1. Вычислить криволинейный интеграл первого рода , где L − дуга плоской кривой при .
1. Вычислить криволинейный интеграл первого рода
, где L − дуга плоской кривой
при
.
► Найдем дифференциал длины дуги
и применим формулу
(5.1)

.◄
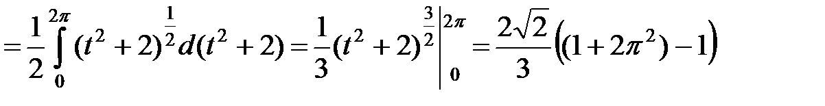
2. Вычислить криволинейный интеграл первого рода
, где L − первый виток конической винтовой линии

► Так как
то
и по формуле вычисления криволинейного интеграла для кривой, заданной в параметрическом виде,
(5.2)
имеем 
.◄
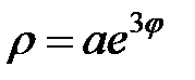
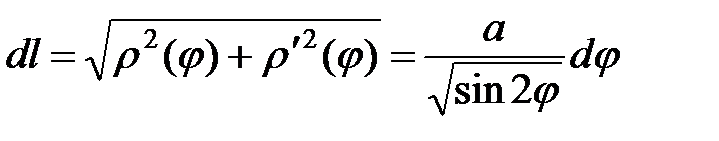
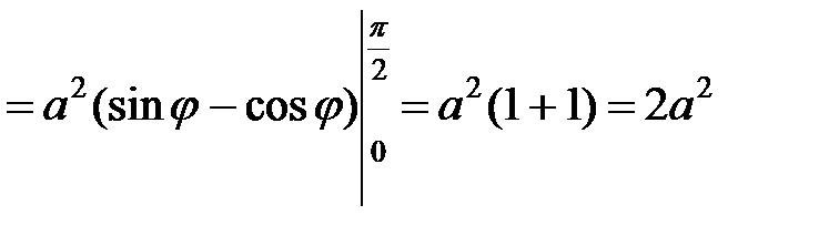
3. Вычислить криволинейный интеграл первого рода
, где L − лепесток лемнискаты Бернулли
, расположенной в I координатной четверти.
► Используем формулу
, (5.3)
если кривая АВ задана в полярной системе координат.
;
;
.
В I координатной четверти полярная координата
меняется от 0 до
, тогда
.◄
Задания для самостоятельной работы
5.1. Вычислить криволинейные интегралы первого рода:
1)
, где L − дуга параболы от точки А (0; 0) до точки В (1;1);
2)
, где L − отрезок прямой от точки А (-1; 0) до точки В (0; 1);
3)
, где L − четверть круга
;
4)
, где L − первая арка циклоиды 
;
5)
, где L − дуга логарифмической спирали
от точки
А (а; 0) до точки О (0; 0).
Криволинейный интеграл второго рода по координатам
Дата добавления: 2016-04-14; просмотров: 13577;
