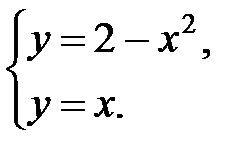
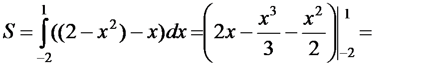
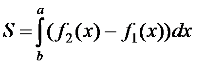
Примеры решения задач. 1. Вычислить площадь фигуры, ограниченной прямой и кривой .
1. Вычислить площадь фигуры, ограниченной прямой
и кривой
.
| Рис.1 |
| у |
| х |
|
| -2 |
|

Получим
. Это и есть пределы интегрирования. Тогда, по формуле
. (2.1)
находим площадь:

.◄
| y |
| x |
|
.
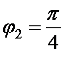
►Кривая задана в полярной системе координат.
Имеет место формула:
. (2.2)
| Рис. 2 |
При
, при
, т.е.
.
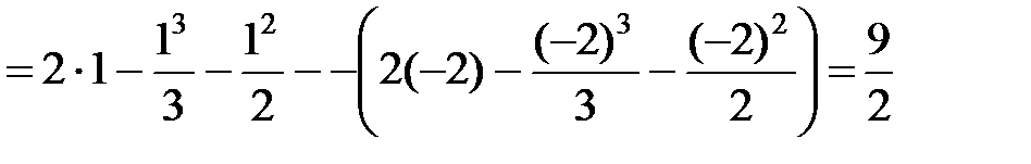
Имеем
.◄
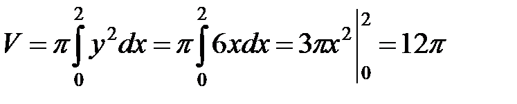
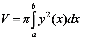
3. Вычислить объем тела, полученного вращением вокруг оси Оx криволинейной трапеции, ограниченной линиями
и оси Оx.
►Для нахождения объема будем использовать формулу
.
В пределах данной трапеции х меняется от 0 до 2, значит,
. Тогда
.◄
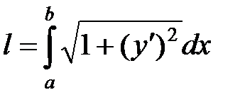
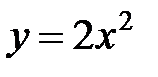
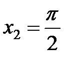
4. Найти длину дуги кривой
, заключенной между точками с абсциссами
и
.
►Для вычисления длины дуги
применим формулу:
.
В данном случае
,
. Тогда
◄
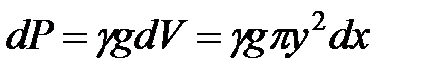
5. Найти работу, затраченную на выкачивание жидкости из конического резервуара, обращенного вершиной вниз, если высота резервуара равна Н, радиус основания R.
►Вычислим вес элементарного слоя жидкости, находящейся на глубине х.
Высоту
этого слоя выберем таким образом, чтобы сделать этот слой цилиндром радиуса
. Тогда вес
этого слоя равен:
| y |
| х |
|
|
|
|
| y |
| х |
|
,
где
− плотность жидкости,
− ускорение свободного падения,
− объем цилиндра.
Из подобия треугольников АОD и СВD находим у:
.
| Рис. 3 |
.
Элементарная работа, затраченная на поднятие этого слоя жидкости на высоту х, равна
,
поэтому
.◄
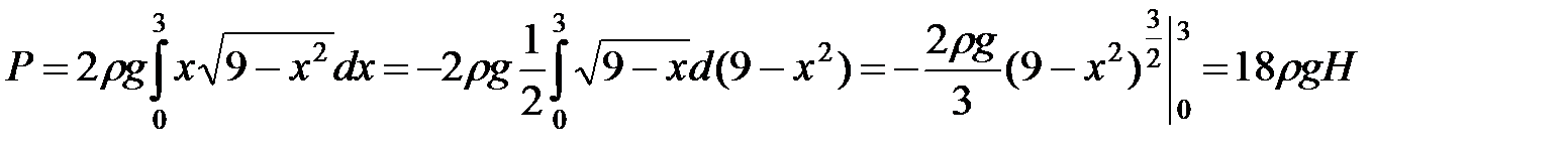
6. Найти силу давления воды на вертикальную стенку в форме полукруга, радиус которого R=3м.
►По закону Паскаля сила давления жидкости на площади вычисляется по формуле:
,
где
− плотность жидкости,
− ускорение силы тяжести,
− глубина погружения,
− площадь площадки.
| y |
| х |
|
|
| y |
| х |
|
и высоты
. Из треугольника
имеем:
.
| Рис. 4 |
.
Найдем дифференциал давления на элементарную площадку:
.
Итак,
.◄
Дата добавления: 2016-04-14; просмотров: 1331;
