Первая теорема Больцано-Коши
Лекция 7. Функции, непрерывные на сегменте (продолжение)
План
Первая теорема Больцано-Коши
Вторая теорема Больцано-Коши
Первая теорема Больцано-Коши
Теорема 1.Пусть функция
определена и непрерывна на
, а на концах сегмента принимает значения разных знаков, то есть
. Тогда существует такая точка
, что
.
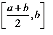
Доказательство. Пусть для определенности
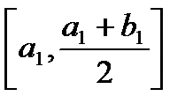
. Разобьем
точкой
пополам (рис.1). Если
, то все доказано. Если
, то на концах одного из сегментов
,
функция будет иметь значения разных знаков. Выберем именно этот сегмент и обозначим его
(рис.1). Для него:
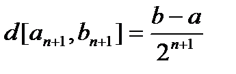
. Будем обозначать длину сегмента
как
. Тогда
.
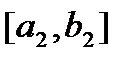
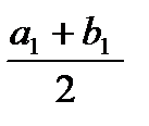
Сегмент
поделим пополам точкой
. Если
, то все доказано. Если
, то на концах
или
функция
будет иметь значения разных знаков. Выберем именно этот сегмент и обозначим его
. Для него:
,
.
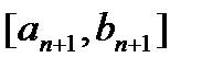
Продолжим этот процесс. Тогда на
м шаге возможны две ситуации:
1.
, тогда все доказано;
2.
. На концах
или
функция
будет иметь значения разных знаков. Выберем именно этот сегмент и обозначим его
. Для него:
,
.
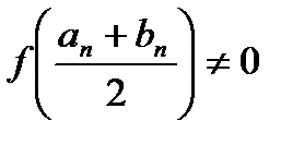
Предположим, что ни на каком шаге функция
в средней точке рассматриваемого сегмента не имеет значения 0. В ходе доказательства мы получили бесконечную последовательность вложенных сегментов:
, (1)
для которых
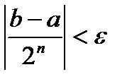
, поэтому
. (2)
Из (2) по определению границы последовательности вытекает, что
для
, что для
:
, т.е. для
в построенной последовательности (1) вложенных сегментов существуют такие, длина которых будет меньше
. Тогда по лемме о вложенных сегментах из этого будет вытекать, что последовательность (1) вложенных сегментов имеет лишь одну общую точку. Обозначим эту точку
; для
:
, а поскольку длины сегментов стремятся к нулю, когда
(равенство (2)), то
. (3)
Из (3) очевидно, что мы имеем две сходящихся последовательности:
,
, которые сходятся к точке
. Поскольку по условию теоремы функция
непрерывна везде на
, то она непрерывна и в точке
. Тогда по определению непрерывности функции по Гейне:


Поскольку для
:
, то
. (4)
Поскольку для
:
, то
. (5)
Сравнивая (4) и (5), имеем:
.
Таким образом, искомая точка найдена, теорема доказана.
Дата добавления: 2015-08-21; просмотров: 5642;
