Тригонометричні системи ортогональних функцій
Приклад 1. Система функцій
(3)
є ортогональною на
. Для доказу цього треба перевірити виконання умови (1):
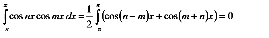
для
;
для
;

для
;
;
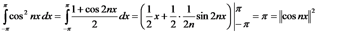
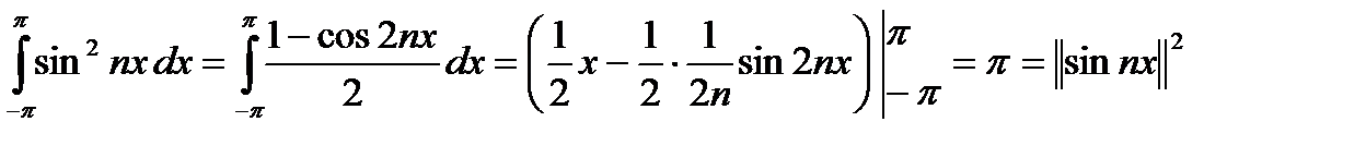
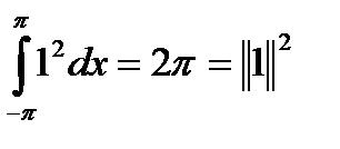
для
;
для
;
для
;
.
Таким чином, подана система (3) ортогональна.
Зауваження 2. Розглянута система (3) буде ортогональною на будь-якому проміжку довжини
.
Приклад 2. Система функцій
(4)
ортогональна на
і на будь-якому сегменті довжини
.
Приклад 3. Система функцій

і система функцій

ортогональні на
.
Приклад 4. Система функцій

і система функції

ортогональні на
.
Системи з прикладів 1, 2 називаються основними тригонометричними системами.
Дата добавления: 2015-08-21; просмотров: 1091;
