Визначення системи ортогональних функцій. Система ортонормованих функцій
Визначення 3. Система функцій
з
називається ортогональною, якщо
. (1)
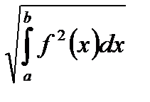
Визначення 4. Число
(2)
будемо називати нормою елементу
і позначати
.
Визначення 5. Ортогональна система функцій
з
називається ортонормальною, якщо
для
.
Зауваження 1. Будь-яку ортогональну систему можливо зробити ортонормальною, розділивши кожну функцію на її норму.
Дата добавления: 2015-08-21; просмотров: 1187;
