Обчислення потрійних інтегралів
Нехай
- прямокутний паралелепіпед
(рис.2), який проектується на YOZв прямокутник
. Для такого
має місце наступна теорема.
Теорема 2. Якщо для функції
існує потрійний інтеграл
і для будь-якого фіксованого
існує подвійний інтеграл
,
то існує і повторний інтеграл:

і
.
Якщо далі припустити, що для будь-яких
і
існує інтеграл
, то
. (1)
При потрібному існуванні інтегралів змінні в інтегруванні в формулі (1) можливо міняти місцями.

Рис.2.
Зауваження. Можна показати, що якщо існує потрійний інтеграл і інтеграл
для будь-яких
і
, то
,
где
.
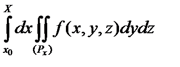
Нехай
має довільну форму, функція
визначена на
. Побудуємо
- прямокутний паралелепіпед, який містить у собі
, і визначимо на ньому функцію
:

Цим шляхом отримаються всі нижчі формули.
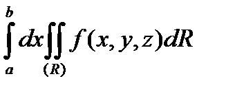
Нехай тіло
знаходиться між площинами
(рис.3), і кожною площиною
, перпендикулярною осі ОХ, де
, перетинається по деякій фігурі з площею
, проекцію якої на площину YOZпозначимо
(рис.3).

Рис.3
Тоді
(2)
в припущенні існування подвійного і потрійного інтегралів.
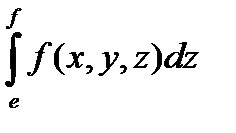
Нехай
- циліндричний брус з твірною, паралельною осі OZ, обмежений знизу і зверху відповідно поверхнями (рис.4):

Тоді аналогічно (2) маємо:
, (3)

Рис.4.
якщо припустити існування потрійного і простого інтегралів.
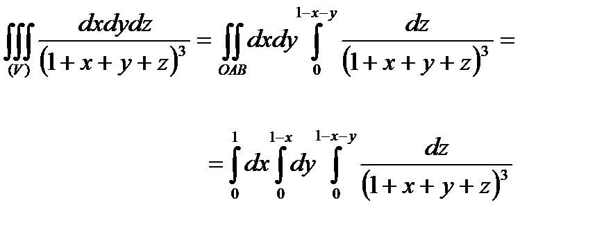
Приклад. Обчислити
, де область
визначається наступним чином (рис.5):

Тоді
.
Дата добавления: 2015-08-21; просмотров: 2465;
