Вычисление тройных интегралов
Пусть
- прямоугольный параллелепипед
(рис.2), который проектируется на YOZ в прямоугольник
. Для такого
имеет место теорема.
Теорема 2. Если для функции
существует тройной интеграл
и для любого фиксированного
существует двойной интеграл
,
то существует и повторный интеграл:

и
.
Если дальше предположить, что для любых
і
существует интеграл
, то
. (1)
При нужном существовании интегралов переменные интегрирования в формуле (1) можно менять местами.

Рис.2.
Замечание. Можно показать, что если существует тройной интеграл и интеграл
для любых
и
, то
,
де
.
Пусть
имеет произвольную форму, функция
определена на
. Построим
- прямоугольный параллелепипед, который содержит в себе
, и определим на нем функцию
:

Этим путем получаются все следующие формулы.
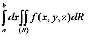
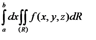
Пусть тело
находится между плоскостями
(рис.3), и каждой плоскостю
, перпендикулярной оси ОХ, где
, пересекается по некоторой фигуре с площадью
, проекцию которой на плоскость YOZ обозначим
(рис.3).

Рис.3
Тогда
(2)
в предположении существования двойного и тройного интегралов.
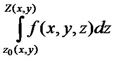
Пусть
- цилиндрический брус с образующей, параллельной оси OZ, ограниченный снизу и сверху соответственно поверхностями (рис.4):

Тогда аналогично (2) имеем:
, (3)

Рис.4.
если предположить существование тройного и простого интегралов.
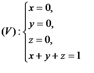
Пример. Вычислить
, где область
определяется следующим образом (рис.5):

Тогда
.
Дата добавления: 2015-08-21; просмотров: 957;
