Зведення невласного інтегралу ІІ роду до невласного інтегралу І роду
План
- Зведення невласного інтегралу ІІ роду до невласного інтегралу І роду
- Інтеграл за значенням Коші. Порівняння збіжності інтегралу за значенням Коші і невласного інтегралу
Зведення невласного інтегралу ІІ роду до невласного інтегралу І роду
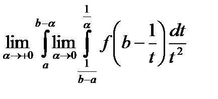
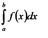
Нехай
- НІ ІІ роду,
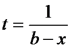
- особлива точка підінтегральної функції. Зробимо заміну при обчисленні НІ ІІ роду:
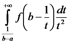
. В результаті отримаємо:

Таким чином, існування
рівносильно існуванню
, а тому збіжність (розбіжність) НІ ІІ роду
рівносильна збіжності (розбіжності) НІ І роду
. Якщо один з них збігається, то
.
12
Дата добавления: 2015-08-21; просмотров: 738;
