Інтеграл за значенням Коші. Порівняння збіжності інтегралу за значенням Коші і невласного інтегралу
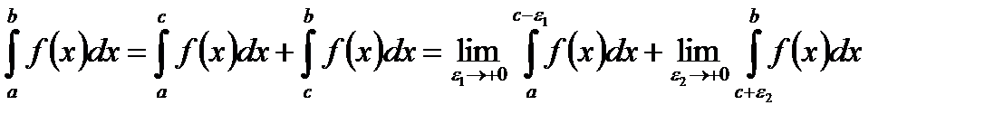
Нехай функція
визначена на
. Припустимо, що для
т.
- особлива. Тоді, відповідно до лекції 39, маємо:
.
Якщо не існує хоча б одна з цих границь, то НІ ІІ роду
є розбіжним. Тут
- незалежні одне від одного.
Коші запропонував варіант, коли
:
.
При такому обчисленні
вже не є незалежними – вони рівні. Такий спосіб обчислення не є загальним. Можливі такі випадки, що границі
,
окремо не існують, але існує границя суми
. Тоді така границя називається головним значенням за Коші невластивого інтегралу (чи інтегралом за значенням Коші) і позначається
.
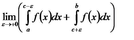
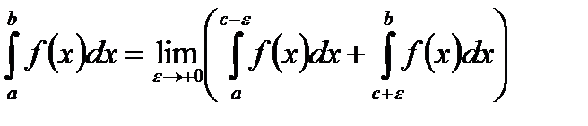
Нехай
визначена на
, а НІ І роду

де
незалежно одне від одного, розбігається. Але може статися, що якщо взяти симетричний проміжок, тобто
, то вона буде існувати. Тоді ця границя називається НІ І роду за Коші і позначається:
.
Приклад. Розглянемо НІ І роду
. У класичному визначенні НІ І роду він є розбіжним, оскільки:
не існує.
Але
.
.
Доцільність такого обчислення для розглянутого приклада стає очевидною з рис.1.

Рис.1.
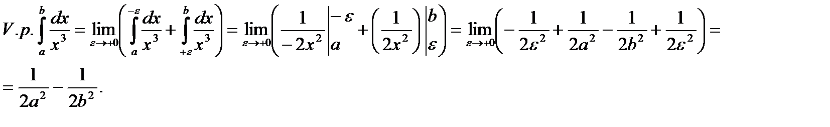
Приклад. Розглянемо
, де
. Цей НІ ІІ роду, як було зясовано в попередній лекції, розбігається. Обчислимо його значення за Коші:

Таким чином, за Коші інтеграл
є збіжним.
Приклад. Інтеграл
, де
, є розбіжним в класичному сенсі. Але

Твердження 1. Якщо функція
визначена на
і є непарною, то
,
а якщо
- парна, то
.
Доказ. Нехай
визначена на
і є непарною. Тоді:

Аналогічно для парної функції.
Питання
1. Чи можна НІ ІІ роду звести до НІ І роду? Як саме?
2. Що таке інтеграл за значенням Коші?
3. У чому полягає сенс визначення НІ за значенням Коші?
4. Як визначається інтеграл за значенням Коші для парної функції?
5. Як визначається інтеграл за значенням Коші для непарної функції?
Дата добавления: 2015-08-21; просмотров: 827;
