Критерий Коши сходимости несобственного интеграла І рода
При изучении свойств функции одной переменной было установлено, что для того, чтобы
имела предел в точке
необходимо и достаточно, чтобы она удовлетворяла условию Коши в этой точке, т.е. чтобы
для
таких, что
,
, выполняется неравенство:
.
Сходимость НИ І рода эквивалентна существованию предела (1) функции одной переменной
. Таким образом:
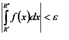
если для
выполняется неравенство
,
то предел (1) суествует. Таким образом, мы доказали следующую теорему.
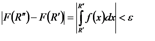
Теорема 1 (Критерий Коши сходимости несобственного интеграла І рода). Для того, чтобы сходился несвойственный интеграл I рода необходимо и достаточно, чтобы
:
.
3. Общее достаточное условие сходимости несобственного интеграла І рода
Теорема 2. Пусть функции
определены на
и выполняются следующие условия:
1)
,
;
2)
- сходится,
то сходится и
.
Доказательство. Из сходимости интеграла
по критерию Коши (теорема 1) вытекает, что

.
Учитывая условие 1) теоремы, имеем, что функция
для
, а это означает, что и
, т.е. модуль в последнем неравенстве можно снять.
По свойствам интеграла Римана имеем:
.
Таким образом, для
имеем выполнение критерия Коши сходимости.
Пример. Рассмотрим несобственный интеграл
, где
. Выясним, при каких значениях параметра
этот интеграл является сходящимся. Пусть сначала
. В этом случае:
.
Полученный предел существует, а интеграл сходится, если
, т.е.
. Если
, то интеграл расходится.
Осталось рассмотреть случай, когда
:
.
Таким образом,

Вопросы
1. Определение несобственного интеграла І рода.
2. Условие Коши в точке для функции одной переменной.
3. Критерий существования предела функции одной переменной.
4. Когда несобственный интеграл І рода называется сходящимся (расходящимся)? Привести примеры сходящихся (расходящихся) несобственных интегралов.
5. Критерий Коши сходимости НИ І рода.
6. Как связаны сходимость (расходимость) интегралов
?
7. Общее достаточное условие сходимости несобственного интеграла І рода.
Дата добавления: 2015-08-21; просмотров: 1614;
