Определение несобственного интеграла І рода
Лекция 37. Несобственные интегралы І рода
План
- Определение несобственного интеграла І рода
- Критерий Коши сходимости несобственного интеграла І рода
- Общее достаточное условие сходимости несобственного интеграла І рода
Определение несобственного интеграла І рода
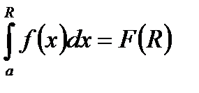
Определение 1. Пусть функция
определена на
. Допустим, что
существует
. Несобственным интегралом (НИ) I рода называется
. (1)
Если предел (1) существует, то говорят, что НИ сходится, иначе - расходится.
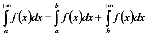
Замечание. Если
, то
,
и интегралы
сходятся и расходятся одновременно. Действительно:
.
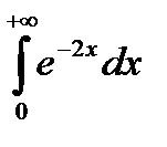
Пример. Вычислить или доказать расходимость интеграла
.
,
Таким образом, представленный интеграл сходится и равен ½.
12
Дата добавления: 2015-08-21; просмотров: 278;
