Бесконечные числовые произведения комплексных чисел и их сходимость.
Бесконечное произведение есть выражение вида
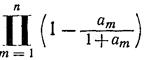
(1+а1)(1+а2)(1+а3) .... (1)
содержащее бесконечно много сомножителей. Мы обозначаем его через

Мы предполагаем, что ни одно из чисел а„ не равно —1. Рассмотрим частичное произведение

Мы говорим, что бесконечное произведение (1) сходится, если рn стремится к некоторому пределу, отличному от нуля, когда п →∞
Мы могли бы, конечно, допустить предел 0, как всякий другой; но мы увидим ниже, что во многих случаях это было бы неудобно.
Если произведение не сходится, то говорят, что оно расходится. Если
, то говорят, что оно расходится к нулю.
Мы начнем с рассмотрения двух простых случаев.
Если an,≥0 то произведение П(1+an) и ряд
сходятся или расходятся одновременно.
Так как в этом случае рn есть неубывающая функция от п, то рn стремится либо к конечному пределу, либо к положительной бесконечности. Далее,
Левое неравенство становится очевидным, если раскрыть скобки; правое неравенство следует из того, что
при любом положительном а. Вместе эти неравенства показывают, что рn и a1 +…+an ограничены или не ограничены одновременно, и это завершает доказательство.
Если an,≤0 для всех значений п, то мы полагаем an = -bn и рассматриваем произведение 
Если
для всех значений п и ряд
сходится, то произведение П(1 — bп) сходится.
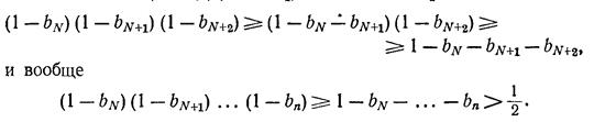
Из сходимости ряда следует существование столь большого N, что bN + bN+1+…<1/2 и, в частности, bn < 1 при n≥N. Очевидно,
(1 - bN) (1 - bN+1)≥1- bN - bN+1,
Таким образом, отношение рп/pN+1 монотонно убывает при п> N и имеет положительную нижнюю грань. Следовательно, оно стремится к положительному пределу. Поскольку
, это завершает доказательство.
Если 0≤bn для всех п, но ряд
расходится, то произведение П( 1 — bn) расходится к нулю.
В самом деле,
, если 0≤b<1, так что

Правая часть стремится к нулю, что и завершает доказательство.
Таким образом, если если 0≤bn<1, то произведение П( 1 — bn) и ряд
сходятся или расходятся одновременно.
Общий случай. Пусть теперь an — любые вещественные или комплексные числа, отличные от —1.
Определение. Произведение П(1+an) называется абсолютно сходящимся, если произведение П( 1 — |an |) сходится.
Из первого предложения следует, что необходимым и достаточным условием абсолютной сходимости произведения П(1+an) служит сходимость ряда
Покажем теперь, что абсолютно сходящееся произведение сходится.
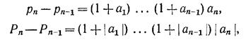
Обозначим через рп то же частичное произведение, что и выше,
и положим
Так как
то |рп — p n-1|≤|Рп — Рп-1|- Если произведение П(1 +|an|) сходится, то Р„ стремится к некоторому пределу, так что ряд
сходится. Тогда, в силу теоремы сравнения, сходится и ряд
стремится к некоторому пределу.
Этот предел не может быть нулем. Действительно, так как ряд
сходится и 1+ап→1, то ряд
также сходится. Следовательно (в силу только что доказанного), произведение

стремится к некоторому пределу.
Но это произведение равно 1/рп- Следовательно, предел произведения рп отличен от нуля.
Дата добавления: 2015-08-14; просмотров: 1482;
