Принцип Гюйгенса-Френеля. Зоны Френеля
Дифракция света относится к явлениям, в которых проявляются волновые свойства света.
Дифракцией называется совокупность явлений, наблюдаемых при распространении света в среде с резкими неоднородностями и связанных с отклонением от законов геометрической оптики. Дифракция, в частности, приводит к огибанию световыми волнами препятствий и проникновению света в область геометрической тени. Явление дифракции можно наблюдать, если размеры препятствий сравнимы с длиной волны, так как именно при этих условиях могут нарушаться законы геометрической оптики. Чем больше длина волны электромагнитного излучения, тем большую роль играют законы волновой оптики и тем более важное значение приобретает дифракция волн.
Явление дифракции объясняется с помощью принципа Гюйгенса-Френеля, согласно которому каждая точка, до которой доходит волна, служит центром вторичных волн, а огибающая этих волн дает положение волнового фронта в следующий момент времени (рис. 1).

Световая волна, распространяясь от источника, является результатом интерференции всех когерентных вторичных волн, возбуждаемых волновой поверхностью. В случае падения плоской волны на преграду с отверстием, размеры которого сравнимы с длиной волны λ, наблюдается распространение волн в область геометрической тени (рис. 1).
Метод зон Френеля позволяет рассчитать амплитуду результирующего колебания в тех случаях, когда можно использовать соображения симметрии. Чтобы понять суть метода, разработанного Френелем, надо определить амплитуду светового колебания, возбуждаемого в точке Р (рис. 2) сферической волной, распространяющейся от точечного источника S.
Волновые поверхности этой волны симметричны относительно прямой SP. Разобьем волновую поверхность на кольцевые зоны так, чтобы расстояния от краев каждой зоны до точки Р отличались от соседней зоны на λ/2. Колебания, приходящие от двух соседних зон в точку Р, находятся в противофазе (разность фаз колебаний от аналогичных точек соседних зон равна ж). Можно показать, что площадь зон примерно одинакова и равна

Расстояние от зоны до точки Р медленно растет с увеличением номера зоны т. Поэтому амплитуды колебаний, возбуждаемых в точке Р зонами Френеля, образуют монотонно убывающую последовательность

Фазы колебаний, возбуждаемых соседними зонами, отличаются на π. Результирующую амплитуду можно записать как
|
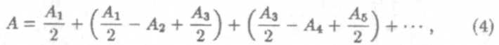
Это выражение можно представить как
|
причем, в силу монотонного убывания амплитуды (2), можно приближенно считать, что

Если учесть, что число зон очень велико (при а = b = 0,1м и λ = 600 нм число зон превышает 6 • 105) и амплитуда колебаний убывает с ростом номера m зоны, то согласно формуле (6), амплитуда А, создаваемая всей волновой поверхностью, равна половине амплитуды, создаваемой первой зоной:

Если на пути волны поставить экран с отверстием, открывающим только первую зону Френеля, амплитуда колебаний A1 в два раза превысит амплитуду (6), а интенсивность увеличится в четыре раза. Если поставить на пути световой волны пластинку, которая перекрывает все четные (или нечетные) зоны, то интенсивность в точке Р (рис. 2) резко возрастет. Такая зонная пластинка действует подобно собирающей линзе. Результирующая амплитуда
А = A1 + Аз + А5 +… оказывается во много раз больше, чем при
полностью открытом волновом фронте.
Дата добавления: 2015-08-11; просмотров: 1102;
