Диэлектрики в электрическом поле
Диэлектрики — вещества, которые не проводят электрический ток. Типичный диэлектрик представляет собой твердое тело, как правило, состоящее из упорядочение расположенных нейтральных молекул вещества. Электрические заряды в молекулах являются связанными.
| Суммарный дипольный момент всех молекул, приходящихся на единицу объема диэлектрика, образует вектор поляризации диэлектрика P |
При помещении диэлектрика во внешнее электрическое поле это поле проникает в среду и вызывает в каждой молекуле смещение электрических зарядов относительно друг друга в противоположных направлениях. Это явление называют поляризацией диэлектриков.
Система из двух связанных пространственно разделенных зарядов противоположного знака называется электрическим диполем. Произведение величины связанного заряда молекулы на вектор ∆r смещения зарядов относительно друг друга составляет ее электрический дипольный момент:
Вектор ∆r считается направленным от отрицательного заряда к положительному. Величина ∆r имеет порядок размера самой молекулы.
Электрический момент диполя и соответственная величина смещения зарядов пропорциональны электрическому полю Е, действующему на молекулу,
где коэффициент а0 — электрическая восприимчивость молекулы. Множитель εо введен для того, чтобы электрическая восприимчивость оказалась безразмерной величиной.
Смещение заряда в молекуле на расстояние ∆r приводит к изменению электрического потенциала, с которым взаимодействует заряд,
и к некоторому изменению потенциальной энергии молекулы во внешнем электрическом поле:
|
Используя (1), получаем

где — угол между направлением внешнего поля и дипольного электрического момента.
Как известно из механики, состояние устойчивого равновесия отвечает минимуму потенциальной энергии тела. Как видно из (3), минимуму отвечает =0
Следовательно, электрический момент диполя ориентируется по направлению поля Е.
где V — объем диэлектрика. Согласно (2) поляризация диэлектрика пропорциональна напряженности поля внутри среды:
где а = (N/V)ao — восприимчивость единицы объема диэлектрика, N — число молекул, находящихся в объеме V вещества. Формула (4) определяет поляризованность большинства диэлектриков кроме сегнетоэлектриков. Диэлектрическая восприимчивость вещества а — величина безразмерная и всегда больше единицы.
Разберем, как ведет себя диэлектрик, помещенный в однородное электрическое поле.
Две разноименно зараженные пластины конденсатора создают между собой однородное электрическое поле напряженностью E0. Внесем в это однородное поле пластину из диэлектрика. Диэлектрик поляризуется под действием поля. В результате чего на грани диэлектрика, обращенной к отрицательной пластине конденсатора, будет избыток положительного заряда с поверхностной плотностью (+σ'), а на противоположной грани диэлектрика, обращенной к положительной пластине конденсатора, — избыток отрицательного заряда с поверхностной плотностью (-σ') (рис. 1).
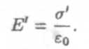
Нескомпенсироваявые заряды, появившиеся на торцах диэлектрика, называются связанными. Электрическое поле в диэлектрике складывается из внешнего поля Е0 и внутреннего поля Е', которое создается нес компенсированными зарядами на торцах диэлектрика и направлено противоположно внешнему полю Е0. Величина внутреннего поля будет:
Результирующее поле внутри диэлектрика будет:
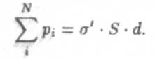
| Определим плотность нескомпенсированных зарядов σ' на торцах диэлектрика. Очевидно, что σ' меньше поверхностной плотности σ свободных зарядов пластин конденсатора. Напишем выражение для модуля вектора дипольного момента всего диэлектрика: |
где S — площадь торца диэлектрика, d — расстояние между торцами диэлектрика.
В свою очередь, полный дипольный момент равен произведению связанного заряда каждой грани Q' = σ'S на расстояние d между ними:

Таким образом получается, что

Откуда следует, что поверхностная плотность σ'связанных зарядов на торцах диэлектрика равна поляризации диэлектрика:

Учитывая (6), получим из (5):

Формула (7) определяет величину электрического поля внутри диэлектрика, расположенного в однородном электрическом поле Е0 через поляризацию Р диэлектрика.
В свою очередь, поляризация диэлектрика пропорциональна полю внутри него (см.(4)) и формула (7) примет вид:

откуда найдем поле внутри диэлектрика:

Величина

и есть диэлектрическая проницаемость среды.
Формула (8) показывает, что электрическое поле в диэлектрике ослабляется в ε раз вследствие его поляризации: появляются связанные заряды, которые частично ослабляют внешнее электрическое поле. Величина

называется вектором электрического смещения или электрической индукцией. В вакууме Do = ε0Е0.
В однородной изотропной среде вектор электрической индукции определяется следующим образом:

Вектор D характеризует электростатическое поле, создаваемое свободными зарядами (например, зарядами на пластинах конденсатора), но при таком распределении их в пространстве, какое имеется при наличии диэлектрика.
Плотность энергии электростатического поля в диэлектрике:

где Е — поле внутри диэлектрика, D — электрическая индукция.
Сравнивая (12) с плотностью энергии электрического поля в вакууме w0, мы получим:

Формула (13) показывает, что в диэлектрике плотность электрической энергии уменьшается в е раз при том же заряде на пластинах. Это означает, что заполняя конденсатор диэлектриком, мы можем сообщить конденсатору больший заряд при меньшей разности потенциалов между пластинами.
Лекция № 24
Дата добавления: 2015-08-11; просмотров: 1624;
