Формула Мора для стержневых систем
Для отдельного стержня при растяжении имеем:

Если система содержит несколько стержней, то можно просуммировать работы
каждого стержня. Согласно закону Гука:

В результате формулу Мора можно записать в виде:

- усилия растяжения стержней, которые возникают от действия единичной силы.
- удлинения стержней, которые появляются под действием силы Р.
Пример: рассмотрим систему, приведенную на рис. 10.1.1. Найдем сначала
.
Ранее усилия растяжения при действии силы Р уже были получены.

Рис.10.3.1
Решим теперь задачу о единичной силе (рис.10.3.2)

Рис.10.3.2


Найдем удлинения

Подставим в формулу Мора:
.
Направление перемещения мы угадали, так как
имеет знак “+”.
Найдем
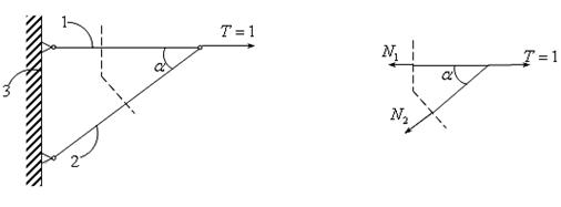
. Для этого рассмотрим 3-ю задачу о действии единичной силы Т=1 (см.рис.10.3.3.).

Получим:

Как и в задаче о вычислении
имеем:

Таким образом:
.
Дата добавления: 2015-08-11; просмотров: 807;
