Тема 13. Основы квантовой физики.
Вопросы:
1. Гипотеза де Бройля. Корпускулярно-волновой дуализм.
2. Принцип неопределенности.
3. Волновая функция. Квантовые уравнения движения. Операторы физических величин.
4. Квантовые числа.
5. Многоэлектронный атом. Принцип Паули.
1. Гипотеза де Бройля. Корпускулярно-волновой дуализм
Французский ученый Луи де Бройль (р. 1892), развивая представления о двойственной корпускулярно-волновой природе света, выдвинул в 1924 г. гипотезу об универсальности корпускулярно-волнового дуализма. Де Бройль утверждал, что не только фотоны, но и электроны и любые другие частицы материи наряду с корпускулярными обладают также волновыми свойствами.
Итак, согласно де Бройлю, с каждым микрообьектом связываются, с одной стороны, корпускулярные характеристики — энергия Е и импульс р, а с другой — волновые характеристики — частота и длина волны . Количественные соотношения, связывающие корпускулярные и волновые свойства частиц, такие же, как для фотонов:
(1)
Смелость гипотезы де Бройля заключалась именно в том, что соотношение (1) постулировалось не только для фотонов, но и для других микрочастиц, в частности для таких, которые обладают массой покоя. Таким образом, любой частице, обладающей импульсом, сопоставляют волну, длина которой вычисляется по формуле де Бройля:
(2)
где р = mv— импульс частицы, имеющей массу т и движущейся со скоростью v.
Вскоре гипотеза де Бройля была подтверждена экспериментально. В 1927 г. американские физики К. Дэвиссон (1881— 1958) и Л. Джермер (1896-1971) обнаружили, что пучок электронов, рассеивающийся от естественной дифракционной решетки — кристалла никеля, — дает отчетливую дифракционную картину. Дифракционные максимумы соответствовали формуле Вульфа — Брэггов , а брэгговская длина волны оказалась в точности равной длине волны, вычисленной по формуле (2). В дальнейшем формула де Бройля была подтверждена опытами П. С. Тартаковского и Г. Томсона, наблюдавших дифракционную картину при прохождении пучка быстрых электронов (энергия 50 кэВ) через металлическую фольгу (толщиной 1 мкм).
Так как дифракционная картина исследовалась для потока электронов, то необходимо было доказать, что волновые свойства присущи не только потоку большой совокупности электронов, но и каждому электрону в отдельности. Это удалось экспериментально подтвердить в 1948 г. советскому физику В. А. Фабриканту (р. 1907). Он показал, что даже в случае столь слабого электронного пучка, когда каждый электрон проходит через устройство независимо от других (промежуток времени между двумя электронами более чем в 104 раз превышал время прохождения электроном прибора), возникающая при длительной экспозиции дифракционная картина не отличается от дифракционных картин, получаемых при короткой экспозиции для потоков электронов, в десятки миллионов раз более интенсивных. Следовательно, волновые свойства частиц не являются свойством их коллектива, а присущи каждой частице в отдельности.
Впоследствии дифракционные явления обнаружили также для нейтронов, протонов, атомных и молекулярных пучков. Это окончательно послужило доказательством наличия волновых свойств микрочастиц и позволило описывать движение микрочастиц в виде волнового процесса, характеризующегося определенной длиной волны, рассчитываемой по формуле де Бройля (2). Открытие волновых свойств микрочастиц привело к появлению и развитию новых методов исследования структуры веществ, таких, как электронография и нейтронография, а также к возникновению новой отрасли науки — электронной оптики.
Экспериментальное доказательство наличия волновых свойств микрочастиц привело к выводу о том, что перед нами универсальное явление, общее свойство материи. Но тогда волновые свойства должны быть присущи и макроскопическим телам. Почему же они не обнаружены экспериментально? Например, частице массой 1 г, движущейся со скоростью 1 м/с, соответствует волна де Бройля с 10-28 м. Такая длина волны лежит за пределами доступной наблюдению области (периодических структур с периодом d 10-28 м не существует). Поэтому считается, что макроскопические тела проявляют только одну сторону своих свойств — корпускулярную — и не проявляет волновую.
Представление о двойственной корпускулярно-волновой природе частиц вещества углубляется еще тем, что на частицы вещества переносится связь между полной энергией частицы и частотой волн де Бройля:
= hv. (3)
Это свидетельствует о том, что соотношение между энергией и частотой в формуле (3) имеет характер универсального соотношения, справедливого как для фотонов, так и для любых других микрочастиц. Справедливость же соотношения (3) вытекает из согласия с опытом тех теоретических результатов, которые получены с его помощью в квантовой механике, атомной и ядерной физике.
Подтвержденная экспериментально гипотеза де Бройля о корпускулярно-волновом дуализме свойств вещества коренным образом изменила представления о свойствах микрообъектов. Всем микрообъектам присущи и корпускулярные, и волновые свойства; в то же время любую из микрочастиц нельзя считать ни частицей, ни волной в классическом понимании. Современная трактовка корпускулярно-волнового дуализма может быть выражена словами советского физика-теоретика В. А. Фока (1898— 1974): “Можно сказать, что для атомного объекта существует потенциальная возможность проявлять себя, в зависимости от внешних условий, либо как волна, либо как частица, либо промежуточным образом. Именно в этой потенциальной возможности различных проявлений свойств, присущих микрообъекту, и состоит дуализм волна — частица. Всякое иное, более буквальное, понимание этого дуализма в виде какой-нибудь модели неправильно.
Некоторые свойства волн де Бройля
Рассмотрим свободно движущуюся со скоростью v частицу массой т. Вычислим для нее фазовую и групповую скорости волн де Бройля. Фазовая скорость
(4)
(
и
, где k =
— волновое число). Так как с > v, то фазовая скорость волн де Бройля больше скорости света в вакууме. Групповая скорость,
(5)
Для свободной частицы
(6)
(7)
Следовательно, групповая скорость волн де Бройля равна скорости частицы.
Волны де Бройля испытывают дисперсию. Действительно, подставив в выражение (1)
формулу
видим, что скорость волн де Бройля зависит от длины волны. Это обстоятельство сыграло в свое время большую роль в развитии положений квантовой механики. После установления корпускулярно-волнового дуализма делались попытки связать корпускулярные свойства частиц с волновыми и рассматривать частицы как “узкие” волновые пакеты , “составленные” из волн де Бройля. Это позволяло, как бы отойти от двойственности свойств частиц. Такая гипотеза соответствовала локализации частицы в данный момент времени в определенной ограниченной области пространства. Аргументом в пользу этой гипотезы являлось и то, что скорость распространения центра пакета (групповая скорость) оказалась, как показано выше, равной скорости частицы. Однако подобное представление частицы в виде волнового пакета (группы волн де Бройля) оказалось несостоятельным из-за сильной дисперсии волн де Бройля, приводящей к “быстрому расплыванию” (примерно 10-26с!) волнового пакета или даже разделению его на несколько пакетов.
2. Принцип неопределенности
Двойственная корпускулярно-волновая природа частиц вещества, вынуждающая описывать микрочастицы с помощью как волновых, так и корпускулярных представлений, ставит вопрос о границах применимости понятий классической физики для объектов микромира.
В классической механике всякая частица движется по определенной траектории, так что в любой момент времени точно фиксированы ее координата и импульс. Микрочастицы ввиду наличия у них волновых свойств существенно отличаются от классических частиц. Одно из основных различий заключается в том, что микрочастица не имеет траектории, и неправомерно говорить об одновременных точных значениях ее координаты и импульса. Это следует из корпускулярно-волнового дуализма. Так, понятие “длина волны в данной точке” лишено физического смысла, а поскольку импульс выражается через длину волны, то отсюда следует, что микрочастица с определенным импульсом имеет полностью неопределенную координату. И наоборот, если микрочастица находится в состоянии с точным значением координаты, то ее импульс полностью неопределенен.
В. Гейзенберг, учитывая волновые свойства микрочастиц и связанные с волновыми свойствами ограничения в их поведении, пришел в 1927 г. к выводу, что объект микромира невозможно одновременно с одинаковой степенью точности характеризовать его координатой и импульсом. Согласно соотношению неопределенностей Гейзенберга, микрочастица (микрообъект) не может иметь одновременно и определенную координату (х, у, z), и определенную соответствующую проекцию импульса (р р , р ), причем неопределенности в значениях этих величин удовлетворяют условиям
(8)
т. e. произведение неопределенностей координаты и соответствующей ей проекции импульса не может быть меньше величины порядка h.
Из соотношения неопределенностей (8 ) следует, что, например, если микрочастица находится в состоянии с точным значением координаты (
= 0), то в этом состоянии соответствующая проекция ее импульса оказывается совершенно неопределенной (
), и наоборот. Таким образом, для микрочастицы не существует состояний, в которых ее координаты и импульс имели бы одновременно точные значения. Отсюда вытекает и фактическая невозможность одновременно с одинаковой степенью точности измерить координату и импульс микрообъекта.
Поясним, что соотношение неопределенностей действительно вытекает из волновых свойств микрочастиц. Пусть поток электронов проходит через узкую щель шириной
расположенную перпендикулярно направлению их движения (рис.1).

Рис.1
Так как электроны обладают волновыми свойствами, то при размерах щели, сравнимых с длиной волны де Бройля
электрона, при их прохождении через щель наблюдается дифракция. Дифракционная картина, наблюдаемая на экране (Э), характеризуется главным максимумом, расположенным симметрично оси Y, и побочными максимумами по обе стороны от главного (их не рассматриваем, так как основная доля интенсивности приходится на главный максимум).
До прохождения через щель электроны двигались вдоль оси Y, поэтому составляющая импульса рx, =0, так что ∆ рx = 0, а координата Х частицы является совершенно неопределенной. В момент прохождения электронов через щель их положение в направлении оси Х определяется с точностью до ширины щели, т. e. с точностью х. В этот же момент вследствие дифракции электроны отклоняются от первоначального направления и будут двигаться в пределах угла 2 ( φ — угол, соответствующий первому дифракционному минимуму). Следовательно, появляется неопределенность в значении составляющей импульса вдоль оси X, которая, как следует из рис. 1 и формулы (1 ), равна
( 9 )
Для простоты ограничимся только электронами, попадающими на экран в пределах главного максимума. Из теории дифракции известно, что первый минимум соответствует углу φ, удовлетворяющему условию
(10 )
где
- ширина щели, а
— длина волны де Бройля. Из формул ( 9 ) и ( 10 ) получим
(11)
где учтено, что для некоторой, хотя и незначительной части электронов, попадающих за пределы главного максимума, величина
. Следовательно, для общего случая получается соотношение

т.е. пришли к соотношению неопределенностей ( 8).
Невозможность одновременно точно определить координату и соответствующую составляющую импульса не связана с несовершенством методов измерения или измерительных приборов, а является следствием специфики микрообъектов, отражающей особенности их объективных свойств, а именно двойственной корпускулярно-волновой природы. Соотношение неопределенностей получено при одновременном использовании классических характеристик движения частицы (координаты, импульс) и наличия у ее волновых свойств. Так как в классической механике принимается, что измерение координаты и импульса может быть произведено с любой точностью, то соотношение неопределенностей является, таким образом, квантовым ограничением применимости классической механики к микрообъектам.
Соотношение неопределенностей, отражая специфику физики микрочастиц, позволяет оценить, например, в какой мере можно применять понятия классической механики к микрочастицам, в частности с какой степенью точности можно говорить о траекториях микрочастиц. Известно, что движение по траектории характеризуется в любой момент времени вполне определенными значениями координат и скорости. Выразим соотношение неопределенностей (8) в виде
(12)
Из этого выражения следует, что чем больше масса частицы, тем меньше неопределенности ее координаты и скорости и, следовательно, с тем большей точностью можно применять к этой частице понятие траектории. Так, например, уже для пылинки массой 10-12 кг и линейными размерами 10-6 м, координата которой определена с точностью до 0.01 ее размеров (
= 10-8 м), неопределенность в значении скорости, по ( 12 )
= 6.62 10-14 м/с т.е. не будет сказываться при всех скоростях, с которыми пылинка может двигаться. Таким образом, для макроскопических тел их волновые свойства не играют ни какой роли; координата и скорость макротел могут быть одновременно измерены достаточно точно. Это же означает, что для описания движения макротел с абсолютной достоверностью можно пользоваться законами классической механики.
Применим соотношение неопределенностей к электрону, движущемуся в атоме водорода. Допустим, что неопределенность в определении координаты электрона
10-10 м ( порядка самого атома, т.е. можно считать, что электрон принадлежит данному атому).
Тогда, согласно (12 ),
=6.62 10-34/(9.11 10-31 10-10) = 7.27 106 м/c.
Используя законы классической физики, можно показать, что при движении электрона вокруг ядра по круговой орбите радиуса
0,5-10 -10м его скорость
2,3- 106 м/с. Таким образом, величина неопределенности в значении скорости в несколько раз больше самой скорости. Очевидно, что в данном случае нельзя говорить о движении электрона в атоме по определенной траектории, иными словами, для описания движения электрона в атоме нельзя пользоваться законами классической физики.
В квантовой теории рассматривается также соотношение неопределенностей для энергии Е и времени t, т. е. неопределенности в значениях этих величин удовлетворяют условию
( 13 )
Следовательно, система, имеющая среднее время жизни
, не может быть охарактеризована определенным значением энергии; разброс энергии
возрастает с уменьшением среднего времени жизни. Из выражения (13) следует, что частота излученного фотона также должна иметь неопределенность
, г. е. линии спектра должны характеризоваться частотой, равной
. Опыт действительно показывает, что все спектральные линии размыты; измеряя ширину спектральной линии, можно оценить порядок времени существования атома в возбужденном состоянии.
Соотношение неопределенностей неоднократно являлось предметом философских дискуссий, приводивших философов к его идеалистическому истолкованию. Например, по их мнению, соотношение неопределенностей, не давая возможности одновременно точно определить координаты и импульсы (скорости) частиц, устанавливает границу познаваемости мира, с одной стороны, и существование микрообъектов вне пространства и времени — с другой. На самом деле, соотношение неопределенностей не ставит какого-либо предела познанию микромира, а только указывает, насколько применимы к нему понятия классической механики.
3. Волновая функция. Квантовые уравнения движения. Операторы физических величин
Экспериментальное подтверждение идеи де Бройля об универсальности корпускулярно-волнового дуализма, ограниченность применения классической механики к микрообъектам, диктуемая соотношением неопределенностей, а также противоречие целого ряда экспериментов с применяемыми в начале XX в. теориями привели к новому этапу развития квантовой теории - созданию квантовой механики описывающей законы движения и взаимодействия микрочастиц с учетом их волновых свойств. Ее создание и развитие охватывает период с 1900 г. (формулировка Планком квантовой гипотезы) до 20-х годов XX в; оно связано прежде всего с работами австрийского физика Э. Шредингера (1887—1961), немецкого физика В. Гейзенберга и английского физика П. Дирака (р. 1902).
На данном этапе развития возникли новые принципиальные проблемы, в частности проблема физической природы волн де Бройля. Для выяснения этой проблемы сравним дифракцию световых волн и микрочастиц. Дифракционная картина, наблюдаемая для световых волн, характеризуется тем, что в результате наложения дифрагирующих волн друг на друга в различных точках пространства происходит усиление или ослабление амплитуды колебаний. Согласно волновым представлениям о природе света, интенсивность дифракционной картины пропорциональна квадрату амплитуды световой волны. С точки же зрения фотонной теории интенсивность определяется числом фотонов, попадающих в данную точку дифракционной картины. Следовательно, число фотонов в данной точке дифракционной картины определяется квадратом амплитуды световой волны, в то время как для одного фотона квадрат амплитуды определяет вероятность попадания фотона в ту или иную точку.
Дифракционная картина, наблюдаемая для микрочастиц, также характеризуется неодинаковым распределением потоков микрочастиц, рассеянных или отраженных по различным направлениям,— в одних направлениях наблюдается большее число частиц, чем в других. Наличие максимумов в дифракционной картине с точки зрения волновой теории означает, что эти направления соответствуют наибольшей интенсивности волн де Бройля. С другой стороны, интенсивность волн де Бройля оказывается больше там, где имеется большее число частиц, т. е. интенсивность волн де Бройля в данной точке пространства определяет число частиц, попавших в эту точку. Таким образом, дифракционная картина для микрочастиц является проявлением статистической (вероятностной) закономерности, согласно которой частицы попадают в те места, где интенсивность волн де Бройля наибольшая.
Необходимость вероятностного подхода к описанию микрочастиц является важнейшей отличительной особенностью квантовой теории. Можно ли волны де Бройля истолковывать как волны вероятности, т. е. считать, что вероятность обнаружить микрочастицу в различных точках пространства меняется по волновому закону? Такое толкование волн де Бройля уже неверно хотя бы потому, что тогда вероятность обнаружить частицу в некоторых точках пространства может быть отрицательна, что не имеет смысла.
Чтобы устранить эти трудности, немецкий физик М. Борн (1882-1970) в 1926 г. предположил, что по волновому закону меняется не сама вероятность, а некая величина, названная амплитудой вероятности, обозначаемая
(х, у, z, t). Эту величину называют также волновой функцией (или
-функцией). Амплитуда вероятности может быть комплексной, и вероятность W пропорциональна квадрату ее модуля:
( 14 )
Таким образом, описание состояния микрообъекта с помощью волновой функции имеет статистический, вероятностный характер: квадрат модуля волновой функции (квадрат модуля амплитуды волн де Бройля) определяет вероятность нахождения частицы в момент времени t в области с координатами х и х + dx, у и у + dy, z и z + dz.
Итак, в квантовой механике состояние микрочастиц описывается принципиально по-новому — с помощью волновой функции, которая является основным носителем информации об их корпускулярных и волновых свойствах. Вероятность нахождения частицы в элементе объема dV равна
( 15 )
где величина

(квадрат модуля
-функции) имеет смысл плотности вероятности. Таким образом, физический смысл имеет не сама
-функция, а квадрат ее модуля
, которым задается интенсивность волн де Бройля.
Вероятность найти частицу в момент времени t в конечном объеме V, согласно теореме сложения вероятностей, равна

Поскольку
определяется как вероятность, необходимо волновую функцию
нормировать так, чтобы вероятность W достоверного события обращалась в единицу, если за объем V принять бесконечный объем всего пространства. Это означает, что при данном условии частица должна находиться где-то в пространстве. Следовательно, условие нормировки вероятностей
( 16 )
где данный интеграл ( 16 ) вычисляется по всему бесконечному пространству, т. е. по координатам х, у, z от
до
. Таким образом, условие ( 16 ) говорит об объективном существовании частицы во времени и пространстве.
Чтобы волновая функция являлась объективной характеристикой состояния микрочастиц, она должна удовлетворять ряду ограничительных условий. Функция
, характеризуя вероятность обнаружения действия микрочастицы в элементе объема, должна быть конечной (вероятность не может быть больше единицы), однозначной (вероятность не может быть не однозначной величиной) и непрерывной (вероятность не может изменяться скачком).
Волновая функция удовлетворяет принципу суперпозиции: если система может находиться в различных состояниях, описываемых волновыми функциями
, то она также может находиться в состоянии
, описываемом линейной комбинацией этих функций:

где
(n =1,2,...)— некоторые комплексные числа. Сложение волновых функций (амплитуд вероятностей), а не вероятностей (квадратов волновых функций) принципиально отличает квантовую теорию от классической статистической теории, в которой для независимых событий справедлива теорема сложения вероятностей.
Зная волновую функцию
в квантовой механике, вычисляют средние значения физических величин, характеризующих данный микрообъект. Например, среднее расстояние <r> электрона от ядра вычисляют по формуле

Где интегрирование производится, как и в случае ( 16 ).
Статистическое толкование волн де Бройля и соотношение неопределенностей Гейзенберга привели к выводу, что уравнением движения в квантовой механике, описывающим движение микрочастиц в различных силовых полях, должно быть уравнение, из которого бы вытекали наблюдаемые на опыте волновые свойства частиц. Основное уравнение должно быть уравнением относительно волновой функции (х, у, z, t), так как именно она, или, точнее, величина
, определяет вероятность пребывания частицы в момент времени t в объеме dV, т.е. в области с координатами х и х + dx, у и у 4-+ dy, z и z+dz. Так как искомое уравнение должно учитывать волновые свойства частиц, то оно должно быть волновым уравнением, подобно уравнению, описывающему электромагнитные волны.
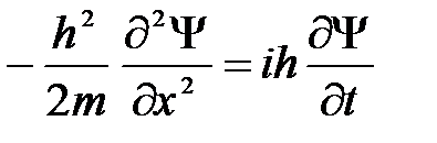
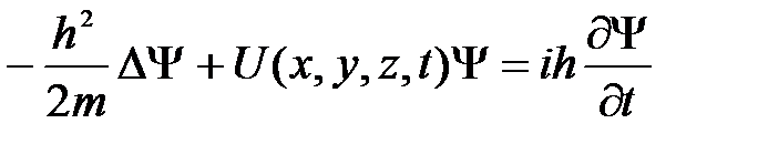
Основное уравнение нерелятивистской квантовой механики сформулировано Э. Шредингером (1926). Уравнение Шредингера, как и все основные уравнения физики (например, уравнение Ньютона в классической механике и уравнения Максвелла для электромагнитного поля), не выводится, а постулируется. Правильность этого уравнения подтверждается согласием с опытом получаемых с его помощью результатов, что, в свою очередь, придает ему характер закона природы. Уравнение Шредингера имеет вид
(17 )
где
, m — масса частицы,
- оператор Лапласа (
, i-мнимая единица, U (х, у, z, t)— потенциальная энергия частицы в силовом поле, в котором частица движется.
Уравнение ( 17 ) справедливо для любой частицы, движущейся с малой (по сравнению со скоростью света) скоростью, т. е. со скоростью
. Оно дополняется условиями, накладываемыми на волновую функцию: 1) волновая функция должна быть конечной, однозначной и непрерывной ; 2) производные
должны быть непрерывны; 3) функция
должна быть интегрируема; это условие в простейших случаях сводится к условию нормировки вероятностей (
).
Чтобы прийти к уравнению Шредингера, рассмотрим свободно движущуюся частицу, которой, согласно идее де Бройля, сопоставляется плоская волна. Для простоты рассмотрим одномерный случай. Уравнение плоской волны, распространяющейся вдоль оси х, имеет вид
, или комплексной записи 
Следовательно, плоская волна де Бройля имеет вид
(18 )
(учтено, что
). Так как физический смысл имеет только
, знак “минус” в экспоненте (18) несущественен. Тогда

Откуда
(19 )
Используя взаимосвязь между энергией
и импульсом получим дифференциальное уравнение

которое совпадает с уравнением ( 17 ) для случая U = 0 (мы рассматривали свободную частицу).
Если частица движется в силовом поле, характеризуемом потенциальной энергией U, то полная энергия Е складывается из кинетической и потенциальной энергий. Проводя аналогичные рассуждения и используя взаимосвязь между
и р для данного случая
, придем к дифференциальному уравнению, совпадающему с ( 17 ).
Приведенные рассуждения не должны восприниматься как вывод уравнения Шредингера. Они лишь поясняют, как можно прийти к этому уравнению. Доказательством правильности уравнения Шредингера является согласие с опытом тех выводов, к которым оно приводит.
Уравнение ( 1 ) является общим уравнением Шредингера. Его также называют уравнением Шредингера, зависящим от времени.
Дата добавления: 2015-08-11; просмотров: 1881;
