Потенциальный характер электро-статического поля.
Выберем в электрическом поле какую-либо точку за начальную и будем вести от нее отсчет потенциальной энергии. Для перемещения заряда из начальной точки в данную точку поля при любой форме пути должна быть затрачена одна и та же работа А. Поэтому в любой точке поля потенциальная энергия П заряда численно равна работе, которую необходимо совершить для перемещения заряда в эту точку.
Подобно тому, как потенциальная энергия в поле сил тяготения пропорциональна массе тела, потенциальная энергия электрического поля пропорциональна заряду:
.
Величина φ называется электрическим потенциалом поля.
(11)
Потенциал
в какой-либо точке электростатического поля есть физическая величина, определяемая потенциальной энергией единичного положительного заряда, помещенного в эту точку.
Потенциал является энергетической характеристикой электростатического поля.
Единица электрического потенциала – вольт. 1В - есть потенциал такой точки поля, в которой заряд в 1Кл обладает потенциальной энергией 1Дж (1В = 1Дж/Кл).
Работа, совершаемая силами электростатического поля при перемещении заряда Q из точки 1 в точку 2 , может быть представлена как
(12)
т. е. равна произведению переносимого заряда на разность потенциалов в начальной и конечной точках.
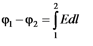
Работа сил поля при перемещении заряда Q из точки 1 в точку 2 может быть записана также в виде
(13)
Приравняв (12) и (13), придем к соотношению
(14)
где интегрирование можно производить вдоль любой линии, соединяющей начальную и конечную точки, так как работа сил электростатического поля не зависит от траектории перемещения.
Если перемещать заряд Q из произвольной точки за пределы поля, т. е. в бесконечность, где по условию потенциал равен нулю, то работа сил электростатического поля, cогласно (12),

или
(15)
Таким образом, потенциал - физическая величина, определяемая работой по перемещению единичного положительного заряда при удалении его из данной точки в бесконечность. Эта работа численно равна работе, совершаемой внешними силами (против сил электростатического поля) по перемещению единичного положительного заряда из бесконечности в данную точку поля.
Если поле создается несколькими зарядами, то потенциал поля системы зарядов равен алгебраической сумме потенциалов полей всех этих зарядов. В этом заключается существенное преимущество скалярной энергетической характеристики электростатического поля - потенциала - перед его векторной силовой характеристикой - напряженностью, которая равна геометрической сумме напряженностей слагаемых полей.
Для графического изображения распределения потенциала электростатического поля пользуются эквипотенциальными поверхностями - поверхностями, во всех точках которых потенциал
имеет одно и то же значение.
Если поле создается точечным зарядом, то его потенциал,
.
Таким образом, эквипотенциальные поверхности в данном случае - концентрические сферы. С другой стороны, линии напряженности в случае точечного заряда - радиальные прямые. Следовательно, линии напряженности в случае точечного заряда перпендикулярны эквипотенциальным поверхностям.
Рассуждения приводят к выводу о том, что линии напряженности всегда нормальны к эквипотенциальным поверхностям.
Действительно, все точки эквипотенциальной поверхности имеют одинаковый потенциал, поэтому работа по перемещению заряда вдоль этой поверхности равна нулю, т. е. электростатические силы, действующие на заряд, всегда направлены по нормалям к эквипотенциальным поверхностям. Следовательно, вектор Е всегда нормален к эквипотенциальным поверхностям, а поэтому линии вектора Е ортогональны этим поверхностям (рис.10).

Рис.10
Дата добавления: 2015-08-11; просмотров: 6913;
