В) Поле равномерно заряженной сферы
Сферическая поверхность радиуса R с общим зарядом q заряжена равномерно с поверхностной плотностью +
. Благодаря равномерному распределению заряда по поверхности поле, создаваемое им, обладает сферической симметрией. Поэтому линии напряженности направлены радиально (рис.8).

8 Рис.8
Выделим мысленно сферу радиуса r, имеющую общий центр с заряженной сферой. Если r > R, то внутрь поверхности попадает весь заряд Q, создающий рассматриваемое поле, и, по теореме Гаусса , 4nr
E = Q/
, откуда
(r
R). (9)
Если r < R, то замкнутая поверхность не содержит внутри зарядов, поэтому внутри равномерно заряженной сферической поверхности электростатическое поле отсутствует (Е = 0). Вне этой поверхности поле убывает с расстоянием r по такому же закону, как у точечного заряда.
Г) Поле бесконечной прямой нити (цилиндра)
Бесконечная нить радиуса R (рис. 9) заряжена равномерно с линейной плотностью
(
- заряд приходящийся на единицу длины).

Рис.9
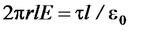
Из соображений симметрии следует, что линии напряженности будут радиальными прямыми, перпендикулярными поверхности нити. В качестве замкнутой поверхности выделим коаксиальный с заряженным цилиндр радиуса r и длиной l. Поток вектора Е сквозь торцы коаксиального цилиндра равен нулю (торцы параллельны линиям напряженности), а сквозь боковую поверхность
. По теореме Гаусса при r > R
, откуда
(r > R). (10)
Если r < R,то замкнутая поверхность зарядов внутри не содержит, поэтому в этой области Е = 0. Таким образом, напряженность поля вне равномерно заряженного бесконечной нити определяется выражением (10), внутри же ее поле отсутствует.
Дата добавления: 2015-08-11; просмотров: 1993;
