Количество жидкости, протекающее через сечение трубки тока в единицу времени, называется расходом жидкости.
Различают объемный
и массовый
расход жидкости.
Объемный расход представляет собой объем
протекающей жидкости через площадь поперечного сечения трубки тока за время
(рис.9.3).
|
|
|
| Рис. 9.3. |
| (9.3) |
Формула (9.3) показывает, что объемный расход жидкости представляет собой поток жидкости сквозь площадь поперечного сечения
.
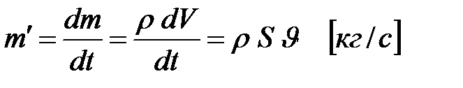
Массовый расход
- это масса
жидкости, протекающая через площадь поперечного сечения трубки тока за время 
| (9.4) |
Рассмотрим теперь трубку тока переменного сечения
(рис.9.4). Для стационарного потока, исходя из закона сохранения массы, массовый расход в любом сечении трубки один и тот же:
или
.
| (9.5) |
Это уравнение называется уравнением неразрывности струи.
| Рис. 9.4 |
У несжимаемой жидкости
, тогда
| (9.6)
|
Для несжимаемой жидкости объемный расход жидкости
остается постоянным. Уравнение (9.6) называется уравнением постоянства объемного расхода несжимаемой жидкости.
Из (9.6) следует, что скорость течения жидкости
через сечение
увеличивается:
.
Дата добавления: 2015-08-11; просмотров: 1822;

(9.6)