Величина называется эффективным сечением молекулы или эффективным сечением соударения.
Расстояние, проходимое молекулой между двумя последовательными соударениями, называется длиной свободного пробега
.
Длина свободного пробега – величина случайная: иногда молекула пролетает свободно довольно большой путь, другой раз этот путь может оказаться значительно меньше (рис.8.2). Поэтому, как и в других явлениях молекулярной физики, рассматривается средняя длина свободного пробега
:
,
|
где
- среднее число соударений за время
.
Число столкновений, которое испытывает в среднем каждая молекула в единицу времени, называется средним числом столкновений
.
|
|
|
|
|
| Рис. 8.2 |
Для вычисления средней длины свободного пробега и среднего числа столкновений введем следующие предположения:
- все молекулы, за исключением рассматриваемой, неподвижны;
- после каждого столкновения молекула не изменяет направления своего движения.
Тогда рассматриваемая движущаяся молекула столкнется на своем пути со всеми молекулами, центры которых отстоят от траектории движения ее центра на расстояниях, не больших
(рис.8.3), т.е. за время
произойдет в среднем
столкновений с теми молекулами, центры которых лежат внутри цилиндра с радиусом
и длиной
, численно равной произведению средней скорости
молекулы за время
:
,
|
где
- площадь основания цилиндра;
- длина цилиндра;
- объем цилиндра;
- концентрация молекул в цилиндре.
|
|
|
| Рис. 8.3 |
Так как в момент столкновения на самом деле движутся обе молекулы, то в последнюю формулу должна входить не средняя арифметическая скорость
, а средняя относительная скорость, которая при максвелловском распределении молекул по скоростям больше средней арифметической в
раз. Тогда за время
данная молекула столкнется в среднем
раз, т.е
.
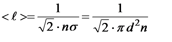
Средняя длина свободного пробега молекул
или
| (8.1) |
Среднее число столкновений, которое испытывает в единицу времени рассматриваемая молекула, будет равно:
| (8.2) |
Столкновение частиц является чрезвычайно важным вопросом физики. Так, ядерные реакции, процессы, происходящие в плазме, взаимодействие летательных аппаратов с набегающим воздушным потоком и многие другие проблемы физики и аэродинамики могут быть успешно решены при учете столкновений между частицами. Именно столкновения ответственны за такие явления, как диффузия, теплопроводность, вязкость, являющиеся исключительно важными в инженерной практике.
Дата добавления: 2015-08-11; просмотров: 1646;

,
,
или