Законы сохранения энергии механической системы.
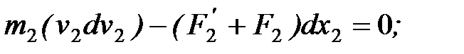
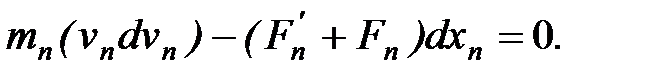
Рассмотрим механическую систему, состоящую из п тел, масса и скорость которых соответственно равны т1, т2,..., mn и v1, v2, ..., vn. Пусть F' — равнодействующая всех приложенных к данному телу внутренних сил, а F — равнодействующая приложенных к данному телу внешних сил. Запишем второй закон Ньютона для каждого из п тел механической системы:


..............................

Пусть все точки за какой-то интервал времени dt совершают перемещения dx1, dx2, ..., dxn. Умножим каждое из уравнений скалярно на соответствующее перемещение и, учитывая, что dx1= v1dt, получим


.........................................

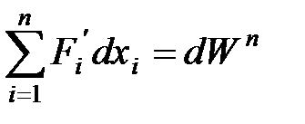
Сложив эти уравнения и учитывая, что система замкнута, т. е.
F1 + F2 +...+Fn =0,
получим
,
,
где dWк есть бесконечно малое изменение кинетической энергии всей системы, а
- бесконечно малая работа всех действующих в системе консервативных внутренних сил, взятая с обратным знаком, т. е., бесконечно малое изменение потенциальной энергии системы dWп.
Дата добавления: 2015-08-11; просмотров: 669;
