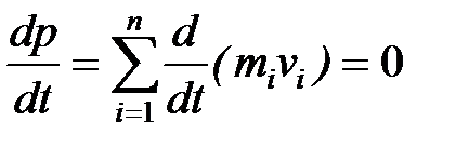
Рассматривая замкнутую систему, можем записать
F1 + F2 + ... + Fn = 0.
Таким образом следует аналитическое соотношение:

или
,
т.е.
(3.2)
Выражение (3.2) и является законом сохранения количества движения: количество движения замкнутой системы сохраняется, т. е. не изменяется с течением времени. Этот закон справедлив не только в рамках классической механики. Он является фундаментальным законом природы.
Дата добавления: 2015-08-11; просмотров: 593;
