Ускорение и его составляющие
В случае неравномерного движения важно знать, как быстро изменяется скорость с течением времени. Физической величиной, характеризующей быстроту изменения скорости по модулю и направлению, является ускорение.
Пусть вектор
задает скорость точки А в момент времени
. За время
движущаяся точка перешла в положение В и приобрела скорость, отличную от v как по модулю, так и направлению, равную
. Перенесем вектор
в точку А и найдем
(рис. 4).
Средним ускорением неравномерного движения в интервале от
до
называется векторная величина, равная отношению изменения скорости
к интервалу времени
:

Рис.4
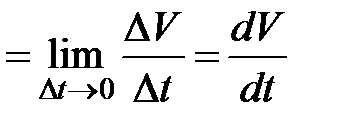
| Мгновенным ускорением материальной точки в момент времени будет предел среднего ускорения:
.
Таким образом, ускорение есть векторная величина, равная первой производной скорости по времени.
Разложим вектор на две составляющие. Для этого из точки А (см. рис. 4) по направлению скорости v отложим вектор AD, по модулю равный .
|
Очевидно, что вектор CD, равный
представляет собой изменение скорости по модулю за время
:
.
Вторая же составляющая вектора
, характеризует изменение скорости за время
по направлению.
Предел отношения-
, являющийся производной от скорости по времени, определяет быстроту изменения скорости в данный момент времени
и является тангенциальной составляющей ускорения
:
.
Определим вторую составляющую ускорения. Допустим, что точка
достаточно близка к точке
, поэтому
можно считать дугой окружности некоторого радиуса
, мало отличающейся от хорды
.. Тогда из подобия треугольников АОВ и EAD следует
, но так как
, то

В пределе при
. Поскольку
, угол EAD стремится к нулю, а так как треугольник EAD равнобедренный, то угол ADE между
и
стремится к прямому. Следовательно, при
векторы
и
оказываются взаимно перпендикулярными. Так как вектор скорости направлен по касательной к траектории, то вектор
, перпендикулярный скорости, будет направлен к центру круга ее кривизны.
Рис. 5
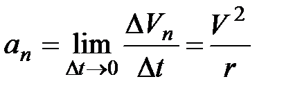
| Вторая составляющая ускорения, равная
называется нормальной составляющей ускорения и направлена по нормали к траектории к центру ее кривизны (поэтому ее называют также центростремительным ускорением).
Полное ускорение тела есть геометрическая сумма тангенциальной и нормальной составляющих (рис. 5):
.
|
Итак, тангенциальная составляющая ускорения характеризует быстроту изменения скорости по модулю (направлена по касательной к траектории), а нормальная составляющая ускорения характеризует быстроту изменения скорости по направлению (направлена к центру кривизны траектории).
С учетом тангенциальной и нормальной составляющих ускорения движение можно классифицировать следующим образом :
1)
- прямолинейное равномерное движение;
2)
— прямолинейное равнопеременное движение. При таком виде движения
.
Если в начальный момент времени
, а начальная скорость
, то, обозначив
и
, получим
,
откуда
Проинтегрировав эту формулу в пределах от нуля до произвольного момента времени t, получим формулу для пройденного пути в случае равнопеременного движения:

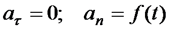
3)
- прямолинейное движение с переменным ускорением;
4)
. При а
= 0 скорость по модулю не изменяется, а изменяется по направлению. Из формулы
следует, что радиус кривизны должен быть постоянным. Следовательно, имеем дело с равномерным движением по окружности;
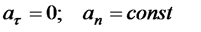
5)
- равномерное криволинейное движение;
6)
- криволинейное равнопеременное движение;
7)
- криволинейное движение с переменным ускорением.
Дата добавления: 2015-08-11; просмотров: 2245;

Рис.4
материальной точки в момент времени
.
Таким образом, ускорение
на две составляющие. Для этого из точки А (см. рис. 4) по направлению скорости v отложим вектор AD, по модулю равный
.
Рис. 5
называется нормальной составляющей ускорения и направлена по нормали к траектории к центру ее кривизны (поэтому ее называют также центростремительным ускорением).
Полное ускорение тела есть геометрическая сумма тангенциальной и нормальной составляющих (рис. 5):
.